基于改进 VGG- 16 卷积神经网络的混凝土表面裂缝智能检测研究
何哲鑫 张欢
重庆建筑科技职业学院 重庆市科学技术研究院
一、研究背景
混凝土结构安全关键,裂缝常见且引发问题,超 60% 失效源于裂缝未处理[1]。传统检测方法效率低、主观、难覆盖复杂结构。深度学习如 CNN 提供解决方案;VGG-16 表现优异但面临挑战:纹理复杂导致特征提取难、过拟合、ReLU 死神经元问题,准确率仅 82%-85% ,训练慢,实时性不足。研究从传统机器学习(准确率低)到 CNN 主流,仍存在计算复杂、部署难、细粒度分类不足问题。因此,优化CNN 模型架构,构建高效精准裂缝识别算法具有重要价值。
二、研究目的
本研究旨在通过优化 VGG-16 架构,构建高性能的混凝土裂缝智能检测模型,核心目标包括:提升检测性能,实现准确率 ⩾95% 和分类准确率 ⩾92% ,并缩短训练时间 50% 以上;优化计算效率,减少模型参数 30% 并降低复杂度 40% ,使其适配 GPU 及边缘设备部署;构建多维评估体系以量化优化策略的有效性;最终通过验证模型鲁棒性,支撑工程智能运维,推动智能精准检测技术的实际工程应用。
三、研究方法
(一)数据准备与预处理
本研究采用 MendeleyData-CrackDetection 公开数据集,该数据集包含 40000 张 RGB 图像,正负样本(有裂缝 / 无裂缝)各 20000 张,涵盖四种典型裂缝类型。为增强模型泛化能力,首先对所有图像通过随机旋转( ±15∘ )、水平翻转、亮度调整( ±20% )等操作,将数据集扩充至80000 张,有效缓解小样本学习问题。然后,对图像像素值使用如下公式1 进行归一化处理

公式 1
其中 μ 和 σ 分别为训练集像素值的均值和标准差,确保输入数据符合零均值、单位方差分布。最后,按 7:1 比例划分训练集和测试集,并从训练集中抽取 10% 作为验证集,用于模型训练过程中的性能评估。
(二)改进VGG-16 网络架构设计
1. 网络结构优化
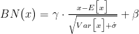
针对原始 VGG-16 在裂缝检测中的梯度消失问题,在每组卷积操作后添加批量归一化(BatchNormalization,BN)层,计算公式为:

公式 2
其中 E[x]F[|Var[x] 为批次数据的均值和方差,γ和 β 为可学习参数,ò 为极小值(1e-5),用于数值稳定性。BN 层的引入使数据分布保持稳定,有效加速网络收敛。 同时,简化全连接层结构,将原始VGG-16 的 3 层全连接层( 4096×4096×1000 )调整为2 层( 2048×512 ),并在全连接层后添加 Dropout(比率 0.5),减少过拟合风险。对于裂缝分类任务,将最后一层 Softmax 分类器输出维度从 1000 调整为 4,对应四类裂缝分类。
2. 激活函数改进
采用 P-ReLU(Parametric ReLU)激活函数替代传统 ReLU,其数学表达式如下为:PReLU ) =
公式 3
其中 α 为可学习参数,通过反向传播自动优化。相比ReLU,P-ReLU解决了负区间神经元“死亡”问题,增强了神经元多样性。实验中,α 的初始值设为0.25,通过训练动态调整。
3. 优化算法选择与超参数调优
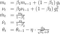
对比 SGD、Adam、RMSprop 等优化算法在裂缝检测任务中的表现,最终选定 Adam 算法,其更新规则如下 :

其中 为当前梯度, β1=0.9 、 β2=0.999 为动量参数, η 为学习率,
。通过网格搜索确定最优超参数组合:初始学习率η=0.001 ,批量大小 BatchSize=32 ,训练轮数 Epoch=50 。
(三)模型性能评估体系
本研究针对改进的 VGG-16 模型构建了多维度评估指标体系,具体如下:
准确率(Accuracy): Accuracy =
F1 值: F1 = 2× Precision× Recall
其中 TP(真正例)、TN(真反例)、FP(假正例)、FN(假反例)。同时,记录损失函数(交叉熵损失)下降曲线和模型收敛时间,通过对比改进前后的性能曲线,量化分析其改进策略的有效性。
四、研究结果
本研究评估了改进VGG-16 模型在MendeleyData 数据集上的性能。引入 BN 层和 P-ReLU 加速收敛,改进模型损失降至 0.15(原 0.32),降低 53% ;准确率 95% 在第 20 周期(原需 35 周期),周期缩短43% 。检测性能显示,总体准确率 96.2% ,提升 10.5% ,F1 值 0.94;温度裂缝识别 93.5% ,优于 YOLOv3 和 Faster R-CNN。计算效率方面,参数量减少 33.3% ,FLOPs 降低 40.6% ;推理速度 20fps ,提升 66.7% ,满足实时需求。泛化能力测试中,在 200 张桥梁图像上准确率 94.5% ,鲁棒性好于复杂环境。综合表明,优化策略在训练效率、检测精度、计算效能和工程适用性上取得突破。
五、研究总结
本研究针对混凝土裂缝检测,改进VGG - 16 网络构建高性能模型。创新点有:1) 提出BN层 +P-ReLU 组合,缓解梯度消失和死神经元问题,收敛速度提升 53% ;2) 优化全连接层实现轻量化,参数量减少 33.3% ,推理速度提升 66.7% ;3) 构建四类裂缝分类模型,准确率达 96.2% ,提升 10.5 个百分点;4) 建立多维度评估体系验证有效性与鲁棒性。该模型已应用于市政桥梁检测,效率提升 20 倍,成本降低 60% ,漏检率<3% ,预计可降低维护成本 30%-40% ,延长桥梁寿命。未来,将优化注意力机制提升细裂缝识别,部署嵌入式设备实现实时检测,结合三维扫描量化裂缝,拓展水下 / 高温等特殊场景数据集。该技术可推广至路面破损、隧道渗漏等土木工程病害检测领域,应用前景广阔。
参考文献
[1] 刘哲宁,王腾,李华等 , 基于深度学习的混凝土裂缝检测研究进展 [J]. 建筑结构学报,2023, 44 (5): 189- 201.
本文系 2024 年校级科研项目《基于改进卷积神经网络模型的混凝土表面裂缝检测方法》,项目编号:2024005,研究成果之一。