水泥搅拌桩在河道整治工程中的应用
侯雪丽 刘启浩 张爱香 吕健
宝应县水利建筑安装工程处 江苏省扬州市 225800
引言:
水泥搅拌桩是以水泥材料为固化剂,利用设备将配制的水泥浆液灌注至地基深处,水泥浆与土壤发生固化反应后,能够明显提升地基的稳定性与强度。软土地基是河道整治工程中的一大难题,可引进水泥搅拌桩技术,提高河道地基强度,确保河道整治工程质量。
一、工程概况
为适应宝应县城市经济快速发展需要,提升城市防洪排涝能力,加快防洪骨干工程和城市防洪排涝体系的建设,根据县委、县政府的工作安排,实施宝应县河道整治工程。整治河道全长4.9km,新建堤岸长10km,城区河道清淤疏浚河道长4.5km。工程等别为Ⅳ等,主要建筑物级别为4 级,次要建筑物为5 级,临时性建筑物级别为5 级。该河道岸线为软土地基,土壤以人工填土、淤泥、泥质粉细砂等为主,因此,决定采用水泥搅拌桩进行基层加固。
二、水泥搅拌桩的工艺性试桩
(一)配合比试验
基于该工程的土质特征,决定选用 P.042.5 级普通硅酸盐水泥,要求设计的水泥搅拌桩 28d 抗压强度在 1.2MPa 以上,90d 在 2.0MPa 以上 [1]。分别对水泥掺入量为 14% 、15% 、16% 的室内水泥配合比试验,其试验结果详情如下:
当取 14% 的水泥掺量时,水灰比值为 1/2;7d 后检测水泥搅拌桩抗压强度,值为0.85MPa;于 28d 后再次检测,达到 1.12MPa,小于该工程要求的 1.2MPa,故不符合工程设计的抗压强度要求。
当取 15% 的水泥掺量时,水灰比值为 1/2 ;7d 后检测水泥搅拌桩抗压强度,值为0.98MPa;于 28d 后再次检测,达到 1.56MPa,大于该工程要求的 1.2MPa,故符合工程设计的抗压强度要求。
当取 16% 的水泥掺量时,水灰比值为 1/2;7d 后检测水泥搅拌桩抗压强度,值为1.15MPa;于 28d 后再次检测,达到 1.62MPa,大于该工程要求的 1.2MPa,故符合工程设计的抗压强度要求。
在河道整治工程中,应用水泥搅拌桩处理软基的目的是加固河道地基,结合该工程的其他因素,试验数据显示 15% 的水泥掺入量最佳。
基于配合比试验数据,制作三根 15% 水泥掺入量的水泥搅拌桩进行试桩。

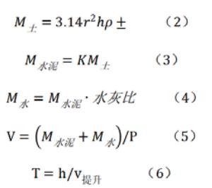
其中, MAB 为每米水泥搅拌桩水泥使用量、r 为水泥搅拌桩半径,取值为 0.35m 、ρ为土壤密度,取值 1.85g/cm3 ,K 为水泥掺入量,取值 15% ,将各项数据代入公式中,得出该工程水泥用量为 107kg/m⨀ 。
(三)水灰比
根据该工程设计要求,其水灰比值范围在 0.4~0.6 间,试桩期间取中间值 0.5;因此水泥浆比重为 1.9g/cm3 但在工程的具体施工过程中,水泥比值需结合现场土料含水量以及工艺试桩土料含水量的实际情况进行优化调整,确保水灰比值符合工程施工要求。
(四)喷浆量与喷浆速度
喷浆量与喷浆速度计算公式如下:

其中, δM 土为每米土体质量、h 为高度,取值 lm 、 M### 为每米水泥搅拌桩水泥使用量、M# 为每米用水量、V 为每米喷浆量、P 为水泥浆比重,取值 1.9g/cm3 、 ΔVtQ↑ 为提升速度,取值0.5、T 为每米的提升喷浆时间。本次试桩深度设定为 12m ,采用六搅三喷法成桩法,经过公式计算得出成桩耗时 120min⨀
(五)试桩试验参数
该工程水泥搅拌桩工艺性试桩参数详情可见表一。
(二)水泥掺量
表一 水泥搅拌桩工艺性试桩参数

(六)试桩质量检验
试桩结束后需及时进行质量检验,以成桩 7d 为节点,对试桩地点进行人工开挖,检查桩体的情况,得出成桩直径在 700mm~705mm ,没有明显缩颈与回陷的情况。在成桩
28d 后,使用岩心钻探机取样,并对芯样进行质量检测,其检测结果详情可见表二[2]。基于《建筑基桩检测技术规范》相关要求,水泥掺入量为 15% 的水泥搅拌桩,各项指标参数均符合河道整治工程施工质量要求。
表二 钻芯法芯样检测结果

三、河道整治工程中水泥搅拌桩应用流程
(一)施工准备
施工人员依据实地调研结果编写合理的施工策略,确定所需机械、材料、人力等各方面的需求量和标准,做好施工设备管理调度工作,并根据实际工况优化施工方案,为河道整治工程中水泥搅拌桩施工顺利开展奠定基础 [3]。此外,为了避免水泥搅拌桩施工出现成本失控的问题,施工企业需编制科学的预算管理方案,对影响项目施工成本的因素进行系统化分析,制定针对性的管理措施,切实提升河道整治工程中水泥搅拌桩施工项目预算管控效果,确保项目施工经济效益。
(二)测量放样
测量放样是水泥搅拌桩施工的关键环节,为了提高测量数据的精准度,施工企业需引进现代化测量设备,严格按照施工图纸,标记出桩位与孔位,并将测量放样误差控制在1cm 内,结束后施工人员立即进行测量数据核验。
(三)钻机就位
根据测量放样数据布设钻机具体位置,要求钻机钻杆与桩位中心位置平齐,偏差控制在 5cm 以内 [4]。同时,要求钻杆与台面保持 90∘ ,误差控制在 0.5% 以内。在钻机就位后,施工人员要对设备进行全面的质量检查,检验通电后钻机是否正常运转,避免在钻孔时发生钻机故障问题,影响钻孔质量。
1. 钻孔
钻进控制效果与钻孔施工质量息息相关,施工人员要结合河道的实际情况设置钻孔参数,如钻进速度: 0.5m/min~0.8m/min 、提升喷浆速度:0.7m/min~1m/min、内钻杆转速≥ 50r/min、外钻杆转速 ⩾70r/min 、下沉喷浆压力:0.25MPa~0.4MPa、喷浆量:30L/min等。钻进时按照钻孔方案执行,要时刻注意钻机垂直度,每钻进5m~10m 进行一次观测,详细记录钻孔参数,如钻进阻力、钻进速度等,一旦发现存在偏斜问题,及时纠正处理。若在钻进期间发现钻机设备的钻头出现严重磨损,需要及时更换。钻孔结束取套管时,要提前向管内注入水泥浆,起到保护管壁的作用。
2. 制浆
严格按照需求配制水泥浆材料,将水灰比设为 1:1 ,两者搅拌均匀后加入 AJ 无碱液体速凝剂和系列萘系减水剂,掺入比例分别为水泥用量的 1%~3% 与 0.5%∘ 。将混合液体倒入搅拌机中,持续搅拌 3min~5min。搅拌暂停后测量水泥浆密度,联合马氏漏斗测量水泥浆的黏度。将测量参数与水泥搅拌桩施工指标对比,在误差范围内即可将水泥浆放入储存罐中,防止水泥浆离析。
3. 下喷射管
在下喷射管操作前,施工人员可使用清水进行试验,保证喷射管畅通。试喷结束后,操作人员应利用胶布将喷射管喷孔进行包裹,降低砂石堵塞喷孔问题的发生概率 [5]。将喷射管放置到设定的深度后,开通电源启动灌浆泵,原地旋转喷射出水泥浆。在操作期间,施工人员要时刻关注时间,通常将时间控制在 3min~5min,若灌浆孔出现回浆现象,可提升喷射管。
4. 旋喷提升
在旋转喷射期间提升喷射管,应做好灌浆孔回浆量的监测工作,将其控制在灌浆量10%~15% ;并将灌浆孔回浆量、灌浆量等数据进行整理,绘制旋喷曲线图。当喷射管达到设计标高后,即代表完成喷浆施工,可缓慢移出喷射管,并进行清洗作业,待管内流出液体清澈后停止。
5. 充填灌浆
灌浆结束后,水泥浆发生固化反应,水泥浆凝结后体积会发生一定的变化,当桩体顶部出现凹陷时,需使用相同配比的水泥浆液,通过旋喷桩进行充填,直到孔口的水泥浆不再下降,即可移至下一桩位进行填充。
结束语:
综上所述,水泥搅拌桩具有强化河道地基稳定性与强度的作用,要想确保水泥搅拌桩发挥出真正的应用效果,施工人员要做好试桩操作,严格按照工艺流程施工,提升河道地基处理水平,为提高河道整治工程质量奠定基础。
参考文献:
[1] 樊佳男, 周洁, 杨波, 薛静. 水利工程护岸挡墙基础施工运用水泥搅拌桩的解析 [J]. 中华建设 ,2024,(02):148-150.
[3] 张济宁 . 水泥搅拌桩施工技术在河岸软土地基处理中的应用 [J]. 黑龙江水利科技 ,2022,50(11):152-154+162.
[4] 刘海涛 . 水泥搅拌桩在水利工程护岸挡墙基础处理中的应用 [J]. 人民黄河 ,2021,43(S2):201-202+204.
[5] 赵松 . 水泥搅拌桩施工技术在河道整治工程中的应用 [J]. 水利水电技术 ( 中英文 ),2021,52(S2):40-44.
[6] 陆艳雯. 高压水泥旋喷桩在河道整治工程中的施工应用——结合番禺区石三河黑臭水体治理工程分析 [J]. 珠江水运 ,2020,(21):60-61.