二等标准铂铑10- 铂热电偶测量结果不确定度评定
杨杰
内江市检验检测中心
Abstract:This paper presents an uncertainty evaluation of the measurement results for a second-class standard S- Type thermocouple at the zinc (Zn) , aluminum (Al), and copper (Cu) fixed points, using the bipolar comparison method in accordance with the technical specifications JJG75-2022 and JJF1059.1- 2012. The evaluation results demonstrate that the measurements comply with the verification requirements for second-class standard thermocouples and can provide a reliable basis for related calibration work.
Keywords:Standard Platinum-Rhodium; Uncertainty; Assessment
一、概述
1、 测 量 依 据:JJG75-2022《 标 准 铂 铑 10- 铂 热 电 偶》、JJF1059.1-2012《测量不确定度评定与应用》
2、测量环境条件:温度( 15~25 ) C ,湿度( 15~85 )%RH
3、测量标准:
① 一等标准铂铑10-铂热电偶,生产厂家:云南铂敖仪表有限公司,出厂编号:S2021-1-517,溯源值 Ezn=3.4478mV,Eal=5.8608mV,Ecu=10.5743mV, 。② 智能多通道精密测温仪配多通道温度信号扫描装置(温度自动检定系统):ConST685-S 型;测量范围:(
,最大允许误差: ± ( 0.0036% 读数 +0.0009% 量程)。
4、被测对象:二等标准铂铑10- 铂热电偶,编号:S19-1-2968
5、测量过程:采用双极比较法进行检定。将标准器和被检热电偶的测量端用铂丝捆扎在一起,各测量端应处于同一水平面且相互间接触良好,测量端之外的电极不应相互接触,同轴地置于检定炉内,测量端置于有效温场中心位置,将炉温升到预定的检定点附近,温度偏离固定点温度不超过
,保持一段时间,使热电偶的测量端达到热平衡,当观测到炉温变化小于
时,即可开始按标准→被检 $$ 被检→标准的顺序测量不少于4次。第一组测量后将热电偶从炉内取出,解开捆扎,按照上述方法重新捆扎、装炉和连接测量线,进行第二组测量,当两组测量差值不大于 4μV 时测量有效,取平均值作为最终测量结果。

2、标准器的年稳定性引入的标准不确定度uE2
一等标准铂铑 10- 铂热电偶根据检定规程年稳定性为铜点的最大变化量为 5.0μV ,其漂移为正态分布,取 k=3 得: u(ε2)=5.0μV/3=1.67μV
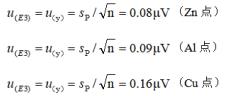
3、测量重复性引入的标准不确定度分量 u(E3
测量重复性采用两组测量数据的合并样本标准偏差进行计算,其数据(单位: mV )如下:

合并样本标准偏差:
( Zn 点)、 0.18μV (Al 点)、0.31μV (Cu 点)。
在实际测量中取 4 次测量的平均值作为结果,故重复性引入的不确定:

4、热电势电测设备测量误差引入的标准不确定度分量 
此次采用的是智能多通道精密测温仪配多通道温度信号扫描装置(温度自动检定系统):ConST685-S 型;测量范围:( 0~100 )mV ,最大允许误差: ± ( 0.0036% 读数 +0.0009% 量程),半宽度 a=∂ ( 0.0036% 读数 +0.0009% 量程),按照均匀分布取
得:



5、热电偶参考端温度补偿引入的不确定度分量 u⋅(ES
多通道温度信号扫描装置冷端温度补偿的最大允许误差为±0.1∘C ,半宽度 a=0.1∘C ,按照均匀分布取
,按环境温度为 20.0% 计算其电势得: 
6、多点转换开关寄生电势引入的标准不确定度分量 u⋅(E6
多通道温度信号扫描装置(温度自动校准系统)经上级校准,开关寄生电势 ⩽0.4μV ,半宽度
,按照均匀分布
得:
。
7、检定炉温场波动引入的标准不确定度 u(E7
测量过程中标准热电偶和被检热电偶测量不能同时进行,根据检定规程要求,当观测到热电偶变化
,开始读数,且整个过程在 1min 内可以采集完数据,按照均匀分布
得:

8、检定炉温场不均匀性引入的标准不确定度分量 u⋅(E8
由于检定炉内温场存在不均匀性,导致标准和被检热电偶测量温度有差异,根据检定规程要求,在检定温度区域内温度梯度 0.4∘C /cm ,取半宽度 a=0.2∘C ,按照均匀分布取
得:



9、热电偶热电自身不均匀引入的标准不确定度分量 u⋅(E9
实际应用中热电偶因各处的热电特性不同,并随使用时间和环境会产生较大的热电特性差异,目前标准铂铑 10- 铂热电偶其影响量估计在热电势的 0.01%~0.02% ,呈均匀分布取
,为保险起见取最大不确定度,得:



四、合成标准不确定度
1、标准不确定度分量汇总表

2、合成标准不确定度
由于上述不确定度之间相互独立,因此合成为:

得: uc(Zn)=3.24μV;uc(A1)=3.46μV;uc(Cν)=3.93μV
五、扩展不确定度
取包含因子 k=2 , U=k⋅uc 得:Uzn=2×3.24μV=6.5μV;Ual=2×3.46μV=6.9μV;
=2×3.93μV=7.9μV
七、测量不确定度报告
Uzn=6.5μV , k=2 ,(换算温度 UZn=0.67∘C , k=2 );
U⋅Al=6.9μV , k=2 ,(换算温度 UZn=0.66∘C , k=2 );
UCu=7.9μV , k=2 ,(换算温度 UZn=0.67∘C , k=2 )。
参考文献
1、国家市场监督管理总局 JJG75-2022《标准铂铑10- 铂热电偶》2、国家质量监督检验检疫总局 JJF1059.1-2012《测量不确定度评定与表示》作者简历杨杰,男,内江市检验检测中心长热电计量室主任,计量测试工程师。



四、合成标准不确定度
1、标准不确定度分量汇总表

2、合成标准不确定度
由于上述不确定度之间相互独立,因此合成为:

得: uc(Zn)=3.24μV;uc(A1)=3.46μV;uc(Cν)=3.93μV
五、扩展不确定度
取包含因子 k=2 , U=k⋅uc 得:Uzn=2×3.24μV=6.5μV;Ual=2×3.46μV=6.9μV;
=2×3.93μV=7.9μV
七、测量不确定度报告
Uzn=6.5μV , k=2 ,(换算温度 UZn=0.67∘C , k=2 );
U⋅Al=6.9μV , k=2 ,(换算温度 UZn=0.66∘C , k=2 );
UCu=7.9μV , k=2 ,(换算温度 UZn=0.67∘C , k=2 )。
参考文献
1、国家市场监督管理总局 JJG75-2022《标准铂铑10- 铂热电偶》2、国家质量监督检验检疫总局 JJF1059.1-2012《测量不确定度评定与表示》作者简历杨杰,男,内江市检验检测中心长热电计量室主任,计量测试工程师。