气体绝缘输电线路温度场模拟仿真研究
赵守贵 代明明 陈寒阳 苟洪霖 李金鸿 李登帅
四川电力设计咨询有限公司 四川成都 610000 国网河南省电力公司信阳供电公司 河南信阳 464000
中图分类号:
气体绝缘金属封闭输电线路(Gas-Insulated Metal-Enclosed Transmission Line,GIL)因其传输容量大、电能损耗低、电磁干扰小以及环境友好等显著优势,已在城市电网改造、水电站及核电站出线、复杂地形输电等场景广泛应用。相较于传统架空输电线路,GIL 采用铝合金外壳包裹内部导体,以高绝缘强度气体(如SF₆)为介质,通过盆式绝缘子分隔气室,构建长距离输电通道。然而,GIL 在长期通流运行中持续发热导致的温升问题,直接威胁设备安全性与可靠性。过高的温升不仅降低材料绝缘性能、加速设备老化,还可能引发密封失效、气体泄漏等故障。温升特性受多重因素动态耦合影响,包括负载电流强度、绝缘气体压力与环境温度的季节性波动,以及管道结构参数与绝缘气体物性的协同作用。
文章聚焦 GIL 输电线路多物理场建模与季节适应性温升问题,通过多物理场耦合模型构建,依据气象数据量化冬、夏典型环境参数,在不同电力负荷条件下,多物理场耦合数值模拟(电磁-流-热场)仿真研究了 GIL 输电线路在连续运行24h 时的温度变化情况,为季节更替引起环境参数变化,叠加电力负荷波动条件下 GIL 输电线路的安全高效运行提供理论支撑。
1 热传导理论、GIL 输电线多物理场建模
1.1 热传导
热传导主要是存在于固体中的传热方式,当物体温度温度分布不均匀时,即存在温差时,物体内的温度会从高温的地方传导到低温的地方,此现象即为热传导。热传导用数学公式表示出热传导的基本定律如式(1)、(2)所示:

式中,Q 为热流量,表示在单位时间内传递的热量,与温度差成正比,单位为瓦特(W); q 为传热速率或称为热流密度,表示单位时间内通过单位面积的热量,单位为 W/m2 ; λ 为物体的导热系数,单位为 W/(m⋅K) ; T1-T2 为物体之间的温度差,单位为摄氏度( C )或华氏度(K);A 为物体的截面积,单位为 m2 ;b 为物体的厚度,单位为 m 。热传导示意图如图3.10 所示
1.2 热对流
GIL 中流体的传热主要形式为热对流,通常是依靠流体质点的移动将热量从一部分带到另一部分的热现象。因为其过程包含两个中比较复杂的热传递现象,所以一般采用牛顿冷却公式反映传热过程。公式如(3),(4)所示。
Q=hA(Tw-Tf)=hAΔT

式中,Q 和 q 所表达的物理意义与式 1、2 中的物理意义一致,A 为固体与流体的接触面面积,单位为 m2 ; h 为对流换热系数,单位为 W/(m2⋅K) 。
1.3 热辐射
热辐射也是传热的基本方式之一,该传热方式存在于一切温度高于绝对零度的物体中,是通过向周围辐射电磁波传递热能,物体温度越高,辐射出的能量就越大。热辐射过程中,并不需要两个物体的直接接触或是中间物质便可将热量进行传递,其辐射公式可以用式 5 表示:
Q=AσT4
式中,Q 为黑体辐射的辐射能,单位为 w ;A 为物体的辐射表面积,单位为 m2 ;T 为绝对温度,单位为 K; $\textbf { \sigma }$ 为斯蒂芬-玻尔兹曼常数,其值为 5.67×10-8 W/(m2⋅K4) 。但黑体只存在于理想的条件下,自然条件下不存在黑体。黑体的辐射率为 1,越接近于 1,表明辐射能力越强,但通常实际物体为灰体,辐射率低于
所以对式 6 进行以下修正:
Q=ξAσT4 (6)
式6 中的 ξ 为物体的辐射率,根据不同材料物体的 ξ 计算其热辐射量
1.4 热传导方程
为了能够分析 GIL 输电线路温度场分布,首先对 GIL 输电线路的热传递情况分析如下。 ①GIL 自身温度与周边环境温度不同导致的热传递现象; ②GIL 自身整体温度分布不均匀,导致温度从 GIL 的一部分传递到另一部分的热传递现象; ③GIL 表面的热辐射现象也会导致热量传递。根据对传统 GIL 的热传导情况分析,参考文献[58]可知,球坐标下 GIL 的热平衡方程如式 7 所示。

式7 中,T 为GIL 某点处温度,单位为K; λ 为导热系数,单位为 W/(m⋅K) ;r、θ、 Φ 分别为球坐标变量。
由于 GIL 输电线路在运行过程中承载着高压大电流,该电流作为本文分析中的激励源,其自身产生的焦耳热相当于热源,所以在式7 基础上需要加上焦耳热源,对式 7 修正可得式 8

式中 ϕ 为焦耳热源。
1.5 GIL 输电线多物理场建模
采用通用有限元仿真软件 CMOSOL 建立三维 GIL 多物理场耦合模型。模型基本结如图所示,其中导体和外壳材料均为铝合金,填充气体为 0.5MPaSF6 气体,外壳外径 514mm ,厚度 8mm ,导体外径 180mm. ,厚度 7.5mm ,长度 18000mm ,同步设置 9000mm 空气域,进行仿真计算。


2 数值模拟分析
采用电流、固体和流体传热模块,利用电磁热多物理场模块进行温度变化计算。考虑国家输电规范,将输电电流设置为:3000A、4000A、5000A、6000A,工频 sohz ,考虑真春夏秋冬季节典型温度变化,分别设置初始环境温度为 10c 、30qC 、 18°C 、 -5% ,外部换热条件为自然对流,设置SF6 气体流速为 0.5m/s ,
2.1 计算分析
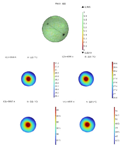
文章首先对模型进行网格剖分,38 个顶点、7400 条边、150484 个边界,共计剖分网格单元数 1310888 个。对 GIL 一端输入电流激励,另一端接地,采用频域稳态计算模块。

从计算结果可以看出:随着电流的增大,GIL 最终达到的温度随之增大,6000A 时最大温度达到 51 摄氏度,这对设备的稳定运行具有一定的安全隐患。
2.2 GIL 输电线路温升特性分析
对不同季节进行频域稳态温升研究,通过数据分析可以看出,冬季环境下内外层温差较大,春、夏季时内外层温差较小,且夏季时温度达到 71 摄氏度,已经超出安全运行温度的上限,影响到设备的安全稳定运行。



图6 秋季温升图

在不同的电流情况下,温升分别为
、
、 30% 、 41% ,在不同季节的,6000A 时,最大温度为 51.48°C 、 71‰ 、 59.27‰ 、 36.88∘C 。
3 总结
本研究利用有限元仿真软件,建立了气体绝缘金属封闭输电线路(GIL)的详细模型,重点仿真分析了不同季节环境温度变化(特别是高温夏季与低温冬季)对 GIL 在满载运行工况下内部温度场分布的影响。仿真结果表明,环境温度的季节性波动对 GIL 整体温升及关键部位(如导体和绝缘子接触点)的温度具有显著影响,夏季高温会导致导体最高温度和外壳温度明显升高,内部温度梯度增大,并可能降低关键部位的热安全裕度。该研究定量揭示了环境温度变化通过影响散热机制(对流、传导)而作用于 GIL 热性能的规律,为 GIL 的热设计优化与高温季节安全运行评估提供了重要依据。
参考文献
1.戴振,等. 220kV 气体绝缘金属封闭输电线路温升模拟及试验[J]. 电工技术, 2025.
2.陈敬友,等. 气体绝缘输电线路温升数值计算及绝缘气体换热能力[J]. 高电压技术, 2020.
3.Benato R, et al. Proximity effect and magnetic field calculation in GIL[J]. IEEE Transactions on Magnetics, 2002. 4.Wu X, et al. Thermal field calculation of GIL based on fluid multi-species transport[J]. Proceedings of the CSEE, 2012. 5.Li B, et al. Heat dissipation analysis of CF4 mixtures in GIL[J]. High Voltage Engineering, 2018. 6.Chang Y, et al. Calculation method for thermal properties of multi-component gas[J]. Journal of Power Engineering, 2010. 7.Liu L, et al. Loss analysis of UHV GIL expansion joint[J]. High Voltage Engineering, 2018. 8.Wang J, et al. Thermal-induced flexible property of GIL[J]. High Voltage Engineering, 2017. 9.Zhou L, et al. Temperature rise characteristics of GIL under environmental factors[J]. Power System Technology, 2019. 10.Tsuboi T. Electromagnetic-thermal-fluid coupled simulation of GIL[J]. IEEJ Transactions, 2020. 11.Cui Y, et al. Thermal expansion compensation design for GIL[J]. Engineering Failure Analysis, 2022.
作者简介:
赵守贵(1987—),男,汉族,硕士研究生,高级工程师,研究方向为继电保护及电气二次回路设计。
代明明(1988—),男,汉族(通信作者),硕士研究生,工程师,研究方向为继电保护及电气二次回路设计。