考虑来水流量改变条件下的水闸防洪标准复核研究
李运凯
博尔塔拉蒙古自治州阿拉山口供水工程管理处 新疆博乐市 833400
中图分类号:TV67; 文献标志码:B
1 工程概况
阿拉山口供水工程渠首位于博尔塔拉河(简称博河)北支流的哈拉吐鲁克河出山口。本工程上游约 500m 处新建的哈拉吐鲁克水库主体工程于 2015 年 3 月正式开工建设,2018 年 12 月通过自治区水利厅下闸蓄水阶段验收,2019 年 5 月 14 日,下闸蓄水试运行,即将开展竣工验收。
2 防洪标准复核
2.1 洪水标准复核
阿拉山口引水渠为Ⅲ等中型工程,3 级水工建筑物的防洪标准为设计洪水标准 20~30 年一遇,校核洪水标准 50~100 年一遇,阿拉山口供水工程渠首设计洪水标准为 20 年一遇,校核洪水标准为50 年一遇,洪水标准满足现行规范要求。
3.2 过流能力复核
(1)泄洪建筑物过流能力复核
1)复核标准
该渠首泄洪由泄洪冲砂闸和溢流堰组成,泄洪冲砂闸共 1 孔,净宽3m,溢流堰宽60m,高 3.5m 。
2)过流能力验算方法
按照《水闸设计规范》(SL265-2016)附录 A 公式及《水力学计算手册》(第二版)进行计算。
3)泄洪冲砂闸过流能力验算泄洪冲砂闸过流能力复核采用如下所示的公式进行计算。

式中:Q—过闸流量, m3/s ;
B —闸孔总净宽(m),本工程为 3m ;
H0 —计入行进流速水头的堰上总水头,(m);
g—重力加速度 9.81( m/s2 );
m—堰流流量系数,设计取0.385;
σσσσ —堰流淹没系数,自由堰流取1;
ε —侧收缩系数,单孔闸:ε= 0.1711− b0s 4 bs0
其中:b0 —闸孔净宽, 3m ;
bs — 上游河道一半水深处的宽度, 130m ;带入上式:ε=0.935;4)溢流堰过流能力验算溢流堰过流能力复核采用WES 实用堰,计算公式如下。

式中:Q—过闸流量, m3/s ;
B0 —闸孔总净宽(m),本工程为 60m ;
H —计入行进流速水头的堰上总水头,(m);g—重力加速度 9.81m/s2 ;
m—堰流流量系数,设计取0.502;
σσσσ —堰流淹没系数,自由堰流取1;
ε—堰流侧收缩系数;
其中:
H0 —堰前总水头,即 H0=H+v2/2g ;
N—侧收缩边数,N=2;
b—每孔的净宽, 60m ;
k—墩型收缩系数 0.08
带入上式: ε=0.962
引水闸总流量规模 1.43m3/s 。此时冲砂闸关闭,计算结果为当进水闸闸前水位为 1222.90m (定为正常水位)时可引设计流量。
当该渠首遭遇校核洪水过程时,对应的洪峰流量为哈拉吐鲁克水库设计洪水对应的下泄流量 144.88m3/s ,泄洪冲砂闸相应下泄能力对应的闸前水位为 1224.35m ,小于校核洪水位 1224.48m。但当哈拉吐鲁克水库发生千年一遇洪水时,最大下泄流量为281.98m3/s,超过渠首工程校核洪峰流量。
(2)引水建筑物引水能力复核
进水闸为 1 孔,布置在泄洪闸(河道)左岸,单孔闸孔净宽为1.5m,设计引水流量 1.43m3/s ,采用如下所示的公式进行计算;
其中:µ=ϕε' 1−ε'Hhe
式中:B ―闸孔总净宽,m;
Q―过闸流量, m3/s ;H0 ―计入行近流速水头的闸上游水深(从闸底板顶面算起),m;g―重力加速度, 9.81m/s2 ;he―孔口高度,m;μ―孔流流量系数;f―流速系数,可采用 0.95~1.0;ε′―孔流垂直收缩系数;I―计算系数;r—胸墙底圆弧半径,m;σ′―孔流淹没系数,由《水闸设计规范》SL265-2016 表A.0.3查取,表中hs 为从闸底板顶面算起的下游水深,m;计算可知,进水闸在不同工况下均能满足设计引水能力 1.43m3/ s。
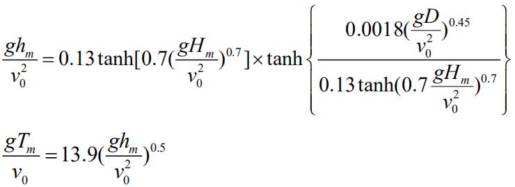
3.3 闸顶高程复核
(1)计算工况
博州阿拉山口供水工程渠首进水闸底板高程 1221.5m ,冲砂闸底板高程 1220m;正常高水位: 1221.9m ;最不利工况下洪峰流量: 281.98m3/s ,洪水位: 1224.97m ;
(2)计算公式
波浪计算高度采用莆田实验站的公式计算:0.0018( gD)0.4

式中:hm —平均波高,m;
v0 —计算风速,m/s;
D—风区长度,取计算点到河对岸的距离,m;
Hm —风区内平均水深,m;
g —重力加速度,取 9.81m/s2
Tm —平均波周期,s。
(3)计算结果
经复核,正常泄水时,计算安全超高为 0.7m ,波浪爬高 0.28m ,正常引水工况计入波浪爬高后闸墩顶高程下限为 1222.88m ,实际闸墩顶高程为1226.35m,满足挡水需求。
因此,渠首在挡水工况下,闸墩顶部高程满足标准要求。
4 结论
(1)防洪标准复核
阿拉山口供水工程渠首设计洪水标准为 20 年一遇,校核洪水标准为50 年一遇,本工程原设计防洪标准满足现行规范要求。
(2)过洪能力复核
渠首最大过洪峰流量为 281.98m3/s 时,对应的水位 1224.97m ,由于该水闸为 3 级建筑物,加上安全超高值 0.5m 后为 1225.47m ,低于闸顶实际高程 1226.35m ,本工程泄洪冲砂闸泄流能力满足规范要求。
(3)闸墩顶高程复核
通过计算可知,挡水工况下,计算闸墩顶部高程为1222.88m,实际闸墩顶高程为1226.35,满足规范要求;泄水工况下,最大洪峰流量计算闸墩顶部高程为 1225.47m ,实际闸墩顶高程为1226.35,本工程闸墩顶高程满足规范要求。
参考文献:
[1] 国务院办公厅《加强基础设施工程质量管理》;
[2] 水利部水建管[2008]214 号文《关于印发< 水闸安全鉴定管理办法> 的通知》;
[3] 《水闸安全鉴定管理办法》;
作者简介:李运凯 1988.10.13 男 河南淮阳 汉 本科 工程管理科副科长,工程师