高等代数与解析几何在高中教学中的应用
陈昶宇
湖北师范大学数学与统计学院 435002
高等代数知识的抽象性、逻辑性、复杂性就要求我们通过解析几何的直观性来更好的理解,就要求我们在高等代数与解析几何的渗透与融合方面做出更好的研究,高等代数与解析几何的融合有助于我们培养数形结合的思维能力,高等代数与解析几何相互渗透与融合的案例研究其实就是数形结合思想的体现,高等代数中抽象的“数”与解析几何中直观的“形”相结合,为解决问题提供了新的思路,高等代数与解析几何之间的相互渗透搭建起来“数”与“形”之间的桥梁,对其他科学发展具有重要的借鉴意义.
在学习中主要研究了高等代数与解析几何相互融合与渗透的案例,对这些案例进行分析,其实就是代数与几何知识的相互融合,其中体现了最典型的数学思想--—数形结合,代数中的“数”与几何中的“形”进行联系,从而达到学生对代数与几何有更清楚地认识。
我们对高等代数与解析几何的渗透与融合的案例研究来强调了代数与几何之间的联系密切,不管是从小学开始,还是中学,大学,代数与几何都是不可分割开的两个学科,它们之间的知识以及逻辑体系之间都密不可分,他们之间即相互关联,有相互独立,从而对中学生来讲,他们对数学的学习难度很大,在中小学时期学生对数学的认识不够深入,代数与几何分的不够清楚,然而对代数与几何相互融合的案例进行研究,从而使得学生能够更好地理解代数与几何它们之间的关联。对中小学生学习数学,解决数学问题有着非常大的帮助。
高等代数与解析几何渗透与融合的案例研究阐明了一种重要的数学思想,那就是数形结合的思想,其实也是数形结合思想的体现,数形结合在中 小学的基础教育中应用广泛。数形结合概括的说就是在解决数学问题时,将抽象的数学语言与直观的图形结合起来,使得抽象思维与形象思维结合起来,实现抽象概念与具体形象的联系与转化。
对于现在的中学生来说,他们对数形结合的思想认识的还不够贯彻,从高中生数形结合解题能力调查可知,高中生数形结合解题的意识不够强,这主要体现在数学解题中数与形的分离上,即一个问题仅仅是从数的角度去求解,或者是仅仅从形的角度去分析,而且学生利用数形结合解题时容易出现问题,不易找到数形结合解题的突破口。因此高中数学教学如果能有效的引导学生自觉强化运用数形结合的解题意识,善于培养学生寻找数形结合解题突破口的能力。将能大大提高学生解题准确率。
数形结合在中小学基础教育中运用 r′′÷ideontimes ,大多是“以形助数”。在解决方程和不等式、求函数的最值问题、求复数和三角函数等问题中,如果巧妙运用数形结合的思想解题,可以化抽象为具体。效果事半功倍,下面举一些在中小学中运用数形结合思想解决的问题。


其实在中小学数学中像这样运用的数形结合思想来解题的题目还有很多,如果能够找当代数与几何中的联系,知道如何进行转化,这样是很有助于解决数学问题的,这与学生学习数学有着很大的帮助。
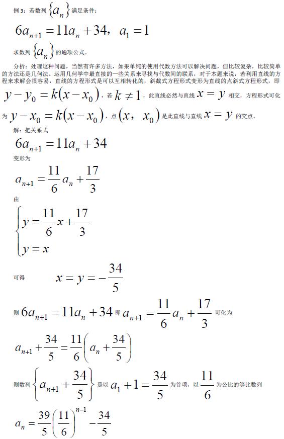
对代数与几何渗透于融合的案例研究不仅阐明了数形结合的思想,说明几何与代数之间知识是密不可分的,而且给学生一种意识,就是在中学数学中解决一些代数类问题的时候能够想到用几何的方法来解题,因为有些代数问题纵然是可以用代数方法解的,但是解题过程繁琐复杂,难以理解,但是用几何的方法来解的话就会很简单,反过来集合中的问题也可以用代数的方法进行解题。如果中小学生能够培养出这样的意识,那么在很多问题上都可以轻松的解决。例如在中学中的这样一道题:

这个题目就是在求数列通项公式的时候通过用几何中的直线方程等知识来解决,再求通项公式的时候有代数法会特别复杂,然而用几何的方法就很轻松的解决问题,从而达到事半功倍的效果,同时也是一个和好的解题方法,让一个问题有多个不同的解法。
在中小学基础教育中还有很多像这样的题目,代数的题目用几何知识解决会更加简单,几何的问题用代数知识来解,达到事半功倍的效果。这些都是中小学基础教育中很基础的解题方法,以及数形结合的思想,这些方法在中小学中是很重要的。
高等代数与解析几何的相互渗透与融合的案例研究,就是中小学数形结合思想的体现,在中小学中应用广泛,而研究的方法,就是用代数的知识解决几何问题,用几何的知识解决代数问题,这在中小学中的应用也很r′′♯′ 。让中小学生加深了对代数与几何的理解,以及他们之间知识的联系。