基于OBE理念的中医经典教学改革研究
杨仕权 姚 春 韩 琦
广西中医药大学赛恩斯新医药学院 广西中医药大学
中图分类号:G 文献标识码:A 文章编号:450102049(2025)04EM-0034-06
经典理论是中医之本,承载了数千年的医学智慧和经验,对中医学术发展和临床实践都有重要的指导意义。中医经典教育在中医教育中占据重要地位,经典文献如《黄帝内经》《伤寒论》等不仅是理论学习的基石,也是临床实践的指南。本研究以中医学类专业(本科)水平测试(下文简称“中医水平测试”)和中医药经典能力等级考试为切入点,基于成果导向教育理念(Outcome-based Education,简称 OBE),分析中医经典教学存在的问题,探索中医经典能力培养路径,对比分析中医水平测试第一阶段考试成绩的结果变化、全国中医药经典能力等级考试近两次结果,结合近三年中医教育改革的主要举措,论证中医水平测试与中医药经典能力等级考试在推动中医经典教育目标达成方面的积极作用,旨在进一步提升中医药院校中医经典教学质量与学生专业素养,为构建中国特色中医药高等教育质量保障体系提供理论支持和实践参考。
一、研究背景
中医经典作为中医学术体系的核心载体,凝聚了历代医家对疾病认识与防治经验的理论精髓,对其的掌握程度在很大程度上决定了学生未来临床能力与学术素养的高低。系统强化中医经典能力的培养,既是中医药人才成长的根基所在,也是实现“传承精华、守正创新”战略目标的关键路径。近年来,国家高度重视中医药高等教育发展,“重视经典、回归经典”已成为中医药院校推动高质量人才培养、构建中国特色医学教育体系的必由之路[1]。
在此背景下,全国中医药院校普遍参与中医学类本科专业水平测试与中医药经典能力等级考试。这两项考试不仅成为衡量院校教学质量与学生学习成效的重要依据,也逐步演化为推动教育教学改革、重塑教学体系结构的重要抓手[2]。各高校围绕考试标准化要求,积极探索教学模式创新路径,例如引入标准化病人(SP)进行临床技能训练、构建夜间见习等沉浸式教学体系、完善中医经典课程评价机制等,且取得了初步成效。实践表明,中医药经典能力等级考试在“以考促学、以考促教、以考促改”方面具有显著的推动作用,能够有效引导学生强化对中医药经典知识的学习与应用,进一步提升学生的经典素养和综合能力[3]。
然而,由于中医经典著作内容庞杂、语言艰深,既有理论抽象性又有临床实践性,传统教学模式在课时、方法与评价上存在诸多局限,难以满足学生对经典学习的深度需求[4]。这在实际教学中表现为学生学习兴趣不高、理解偏浅、临床迁移能力不足,严重制约了中医经典课程的育人功能。为破解上述难题,亟须以教育理念创新为引领,构建目标导向明确、教学过程可控、学习成果可评的中医经典教育体系。
OBE 作为一种强调“以产出为核心”的教育理念,倡导以学生未来应具备的关键能力为导向,倒推课程目标设定与教学活动设计,强调“教学—学习—评价”三者之间的一致性与闭环反馈机制。将OBE理念引入中医经典教育改革,有助于明晰课程学习成果与人才培养目标之间的逻辑关联,有利于从体系上重塑教学内容、方法与评价的契合度,切实提高教学成效。
二、理论基础与核心概念
(一)OBE理念解析
OBE 理念是由美国学者斯派蒂(Spady,WilliamG)提出并进行实践总结的,其核心理念是以学生为中心、以学习产出为导向、以持续改进为保障机制[5]。OBE 理念运用逆向设计思维,从学生的学习成果出发,反推教学目标、教学设计和教学实施[6],以学生学习成果的达成度作为教学效果的评价标准,能够让教师了解学生的学习进展和实际能力,从而动态调整教学策略。OBE 理念的根本目标在于培养能够满足社会需求的高质量人才,整体提升教育的效率和质量[7-8]。
(二)中医经典教学的内涵与教学特点
中医经典教学是中医学人才培养的核心环节,承载着理论传承与思维训练的双重使命。经典著作如《黄帝内经》《伤寒论》等内容深奥、体系庞杂,既体现中医学的理论根基,又蕴含独特的中医思维方式与文化价值。教学过程中不仅需要注重原文理解,更应强调“理—法—方—药”的逻辑推演与临床转化能力的培养。中医经典教学还具有高度的文化属性,应融合传统哲学思想,强化人文素养引导。结合OBE理念,教学目标应聚焦学生核心能力的达成,反向设计课程内容与评价体系,实现从知识传授向能力建构的转变。整体而言,中医经典教学应实现知识传承、思维培养与文化引导的有机融合,助力学生形成系统、精准、具有实践力的中医临床思维。
(三)中医水平测试与中医药经典能力等级考试概述
中医水平测试是全国性的中医药专业综合能力考核,包括第一阶段(中医基础阶段)和第二阶段(中医临床阶段)考试。第一阶段考试涵盖中医基础理论、中医诊断学、中药学、方剂学等基础课程,重点考查学生的中医基础理论掌握情况和临床思维能力。该测试作为质量监控的重要手段,对规范中医药教育、提高人才培养质量具有重要意义。
中医药经典能力等级考试是全国性的中医经典能力评价体系,分为初级、中级和高级,主要考核学生对《内经》《伤寒论》《金匮要略》《温病学》等中医经典著作的理解和应用能力。该考试强调对经典原文的掌握和临床应用能力,对推动中医药院校加强经典教育、提高学生中医思维能力具有重要作用。
三、中医经典教学存在的问题
当前中医药高等教育中,中医经典课程作为核心课程之一,在中医人才培养体系中的基础性和引导性作用日益凸显。然而,在实际教学过程中仍存在诸多问题,阻碍了中医经典课程在学生知识构建、能力培养及素养塑造中的作用发挥。基于OBE理念,下文从课程体系、教学实施、教学评价、教学支持四个方面系统分析当前中医经典教学存在的主要问题,以期为后续教学改革提供方向性参考。
(一)课程体系:课程体系与教学内容脱节
当前中医经典课程在本科教育课程体系中所占比重有限,学时安排不足,课程内容未能突出其在知识架构中的基础地位。经典教学内容常与基础课、临床课相互割裂,未形成“理论—实践—应用”衔接有序的教学链条,缺乏跨课程整合设计。部分课程存在重知识传授、轻能力应用的倾向,导致学生虽能背诵经典条文,却难以结合具体临床案例进行诊断与分析。这种理论与实践脱节的教学模式,不仅削弱了经典课程对临床技能形成的支撑作用,也违背了OBE理念中“以成果为导向”的课程设计思路。
(二)教学实施:师资队伍建设滞后
在教学实施层面,当前中医经典课程普遍存在师资力量薄弱、教学方式单一等问题。其一,高水平经典教师数量不足,部分教师缺乏系统的经典研习背景及现代教学理念,难以有效融合传统经典与当代医学教育需求。其二,教学方法主要依赖传统讲授方式,互动性差,缺乏案例教学、情境模拟等现代教学手段,难以激发学生主动学习的积极性。其三,教学组织形式高度标准化,同一课程对不同层次学生采用统一教材、进度和要求,缺乏个性化教学方案。这种“同质化”的培养模式忽视了学生之间的差异性,限制了学生潜能的有效开发,不利于中医人才的多样化成长。
(三)教学评价:考核机制不科学
中医经典课程的考核方式仍以封闭式期末考试为主,注重知识点记忆,忽视对学生综合理解、临床转化与实践应用能力的考查。这种评价机制与OBE理念强调的“成果可测量、能力可评估”明显脱节,难以全面反映学生的真实学习成效和中医思维掌握程度。此外,部分高校存在考核标准宽松、评分机制不严、评价维度单一等问题,导致“高分低能”现象频发。学生为应付考试而进行短期突击记忆,考试后即遗忘,未能持续稳定地掌握知识与提升能力,严重削弱了考试对教学与学习的促进功能。
(四)教学支持:保障与激励机制不健全
中医经典教学所需的文化支撑和教学资源保障尚不完善。其一,传统文化与哲学教育在课程体系中占比偏低,学生缺乏对中医经典文本所蕴含的文化背景、哲学逻辑和语言风格的理解,进而影响对经典内容的深入把握。其二,学校在经典教学场地、数字化资源、教学平台等方面投入不足,缺乏专门的经典研读空间、交互式教学软件及在线学习支持系统,导致教学环境现代化程度不高,难以适应高质量教学改革的需要。其三,缺乏有效的激励与认定机制,未将教学创新与成果有效纳入评价体系,难以充分激发教师的教学积极性,限制了优质教学资源的长期投入与持续发展。
四、中医经典教学改革策略
为有效应对中医经典教学在课程体系、教学实践和人才输出中存在的问题,(下文简称“学校”)以OBE 理念为指导,确立“以学生为中心,以产出为导向,持续改进”的核心方针,重构中医经典课程目标体系,优化教学资源配置,构建系统完备、运行高效的教学支持体系,通过明确学习成果、强化教学过程与学生产出之间的对齐关系,实现对学生的中医经典能力的系统培养与持续提升。
(一)完善制度建设
在OBE 理念指引下,学校制订《关于进一步强化中医经典能力培养指导意见(试行)》,将中医经典能力作为人才培养核心成果之一,嵌入课程设置、教学实施、评价考核全过程;制订《本科教学考试组织与管理办法》,实施“教考分离”,规范课程评价方式,增强评价的客观性和信度;制订《2023 年“教学质量提升年”工作实施方案》,建立本科生学业导师制,采取学籍警示精准帮扶、教考分离、学术讲座等系列措施。
(二)修订人才培养方案
依据OBE 理念教学设计逻辑,学校对中医药类专业人才培养方案进行系统修订,突出中医经典课程的核心地位,合理增加课时,提高课时在总学时中的比例;新增《中医经典临床应用》等实践导向课程,将“能理解并运用中医经典指导临床诊疗”设定为明确的学习目标,并将中医药经典能力等级考试成绩纳入毕业考核体系,实现教学目标、教学内容与学习产出的闭环衔接。
(三)加强中医经典课程建设
开办桂派杏林班、国医大师班,强化中医经典教学。优先支持中医经典课程的校级一流课程立项,以执业医师岗位胜任力为导向,重新修订中医经典及相关课程质量标准,将中医经典理论融入其他课程,形成完整的中医理论体系;强化课程思政建设,重构教学内容,将中医经典融入基础与临床各门课程;鼓励经典教育课程开展BOPPPS、线上线下结合等方式的教学改革,线下课程注重师生互动、病例讨论等,使学生能够更好地掌握中医经典知识。
(四)加强实践教学环节
根据OBE 理念对“可迁移能力”和“真实任务表现”的强调,学校加快实践教学基地和经典病房建设,系统增加临床实习、技能训练及实践演练环节,推动学生将经典理论知识迁移到真实临床问题的分析与诊疗过程中,通过结构化临床教学和分阶段实习安排,引导学生在实践中不断反馈学习成果,提升学生综合诊疗与问题解决的能力。
(五)开展考核方式改革
一是教考分离。基于OBE 理念对评价的真实性和系统性的要求,学校实行“教考分离”,独立设置考试中心,确保考核评价客观、公正,推动教师聚焦教学过程、精准对接学习成果目标。二是分阶段综合考核。构建纵向分层次的综合考核体系,分别在第五、第七、第八学期开展基础知识、临床能力及整体水平测试,动态监测学生学习成果,形成与课程目标对应的多元考核模式。考核内容突出临床思维、问题解决与经典应用能力,强化学生综合素质与职业能力的培育。三是修订考核制度。提高课程考核门槛,强化“过程性评价 + 终结性评价”机制。期末成绩不及格者不允许直接补考,促使学生重视平时学习质量,同时要求教师关注学习过程、个体差异,形成双向互动的质量保障机制。
(六)加强经典教研室和中医经典堂等的建设
按照OBE 理念强调的“资源保障可达性”原则,学校加强教研室和教学平台建设,设立关于内经、伤寒论、金匮要略、温病学等学术领域的教研组织,建
设“中医经典堂”“经典病房”等实训环境;支持中医经典课程引进高水平师资,明确临床教师参与教学的岗位责任,确保资源投放与教学目标高度一致。
(七)鼓励学生阅读原著
落实OBE 理念对学生自我学习能力培养的要求,免费向学生提供中医经典原文复习资料,推广原著阅读活动,并在教学楼设置朗读亭、自学测评系统等设施,构建可持续学习的支持体系;鼓励学生在多种学习方式中拓展个性化学习路径,提升对中医经典的兴趣和掌握深度,真正实现从“会读”到“能用”的转变。
五、中医经典教育改革成效
为验证OBE理念下中医水平测试及中医药经典能力等级考试对中医经典能力培养的影响,本研究对2020-2023 学年四门主要中医经典课程的学生成绩进行了统计分析。
(一)《金匮要略》课程成绩分析
为了保障数据的对称,从《金匮要略》成绩数据中选出1668 个样本进行近三个学年成绩分析,由于《金匮要略》样本量 ⩽5000 ,使用 Shapiro-Wilk 进行正态分布检验(见表1),显著性P 值为 0.000*** ,水平呈现显著性,拒绝原假设,因此数据不满足正态分布。其峰度(2.514)绝对值小于10 并且偏度(-1.362)绝对值小于3。
通过Friedman检验分析结果可知(见表2),显著性 P 值为 0.000***( P<0.05) ,因此统计结果显著,说明 2020—2021 学 年 成 绩 、2021—2022 学 年 成 绩 、2022—2023 学年成绩之间存在显著差异;其差异幅度 Cohen's f 值为:0.102,小程度差异。
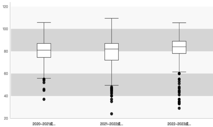
箱线图是利用数据中的五个统计量:最小值、第一四分位数、中位数、第三四分位数与最大值来描述数据的一种方法,可以粗略地看出数据是否具有对称性、分布的分散程度等信息,特别可以用于对几个样本的比较。中位数从2020—2021 学年的81 分上升到2022—2023 学年的84 分。箱线图分析(见图1)显示成绩分布更加集中在高分区,表明教学改革措施对提高《金匮要略》课程学习效果有显著成效。
图1 《金匮要略》箱线图对比

(二)《内经选读》课程成绩分析
为了保障数据的对称,从《内经选读》成绩数据中选出2119 个样本进行近三个学年成绩分析,由于《内经选读》样本量 ⩽5000 ,使用 Shapiro-Wilk 进行正态分布检验(见表3),显著性P 值为 0.000*** ,水平呈现显著性,拒绝原假设,因此数据不满足正态分布。其峰度(0.89)绝对值小于10 并且偏度(-1.108)绝对值小于3。
通过Friedman 检验分析结果可知(见表4),显著性 P 值为 0.000** (
),因此统计结果显著 ,说 明 2020-2021 学 年 成 绩 、2021-2022 学 年 成绩、2022-2023 学年成绩之间存在显著差异;其差异注:***、**、*分别代表 1%.5%.10% 的显著性水平幅度 Cohen's f值为:0.132,小程度差异。
表1 《金匮要略》近三学年成绩分析

表2 《金匮要略》Friedman检验分析结果表

表3 《内经选读》近三学年成绩分析

注:***、**、*分别代表 1%.5%.10% 的显著性水平
箱线图分析(见图2)表明《内经选读》课程成绩有显著提升,证明教学改革措施有效改善了学生的学习效果。
图2 《内经选读》箱线图对比

(三)《伤寒论》课程成绩分析
为了保障数据的对称,从《伤寒论》成绩数据中选出1770个样本进行近三个学年成绩分析,由于《伤寒论》样本量 ⩽5000 ,使用 Shapiro-Wilk 进行正态分布检验(见表5),显著性P 值为 0.000*** ,水平呈现显著性,拒绝原假设,因此数据不满足正态分布。其峰度(1.673)绝对值小于10 并且偏度(-1.268)绝对值小于3。
通过Friedman 检验分析结果可知(见表6),显著性 P 值为 0.000***(p<0.05) ,因此统计结果显著 ,说 明 2020-2021 学 年 成 绩 、2021-2022 学 年 成绩、2022-2023 学年成绩之间存在显著差异;其差异幅度 Cohen's f 值为:0.152,小程度差异。
箱线图分析(见图3)表明《伤寒论》课程成绩有显著提升,说明教学改革对《伤寒论》课程学习效果有积极影响。
图3 《伤寒论》箱线图对

(四)《温病学》课程成绩分析
为了保障数据的对称,从《温病学》成绩数据中选出1757个样本进行近三个学年成绩分析,由于《温病学》样本量 ⩽5000 ,使用Shapiro-Wilk进行正态分布检验(见表7),显著性P值为 0.000*** ,水平呈现显著性,拒绝原假设,因此数据不满足正态分布。其峰度(9.87)绝对值小于10并且偏度(-1.662)绝对值小于3。
通过Friedman检验分析结果可知(见表8),显著性P 值为 0.020** ,因此统计结果显著,说明2020—2021 学年成绩、2021—2022 学年成绩、2022—2023学年成绩之间存在显著差异;其差异幅度Cohen's f值为:0.063,极小程度差异。
箱线图分析显示(见图4),虽然《温病学》课程成绩差异幅度相对较小,但是仍表明教学改革对该课程有积极影响。
表4 《内经选读》Friedman检验分析结果表

注:***、**、*分别代表 1%.5%.10% 的显著性水平
表5 《伤寒论》近三学年成绩分析

注: ⋆⋆⋆∖⋆⋆∖⋆ 分别代表 1%.5%.10% 的显著性水平
表6 《伤寒论》Friedman检验分析结果表

注:***、**、*分别代表 1%.5%.10% 的显著性水平
表7 《温病学》近三学年成绩分析

注:***、**、*分别代表 1%.5%.10% 的显著性水平
表8 《温病学》Friedman检验分析结果表

注:***、**、*分别代表 1%.5%.10% 的显著性水平
图4 《温病学》箱线图对比

六、结语
本研究首次以OBE 理念为理论框架,从中医水平测试、全国中医药经典能力等级考试结果出发,对学校提高中医经典培养能力的教学改革进行全过程反思。研究结果表明,OBE 理念指导下的教学改革,尤其是以中医水平测试和中医药经典能力等级考试为导向的教学改革,对提高学生中医经典能力有显著促进作用。一是考试引导作用明显。中医水平测试和中医药经典能力等级考试以其权威性和规范性,有效地引导了中医药院校对中医经典教学的重视,促使学校从制度层面、课程设置、教学方法、考核方式等多方面进行系统改革。二是多维度改革成效显著。基于OBE理念实施的一系列改革措施,包括完善制度建设、修订人才培养方案、加强中医经典课程建设、加强实践教学环节、开展考核方式改革、加强硬件建设、鼓励学生阅读原著等,形成了全方位、多层次的中医经典能力培养体系。三是学习成果提供实证支持。四门中医经典课程——《金匮要略》《内经选读》《伤寒论》和《温病学》成绩的统计分析结果,实证教学改革措施的有效性,验证了“以考促背、以考促学、以考促教、以考促改”的教学改革路径能够有效提高学生中医经典学习效果。
本研究拓展了OBE 理念在中医教育领域的应用,为中医经典教学改革提供了参考依据,为中医药院校提高中医经典教学质量和学生专业素养提供了实践指导。基于以上研究结果,未来将从人才培养的顶层设计出发,致力于中医经典教学质量的全面提升,推动学校教育教学的系统性改革,进一步拓宽OBE 理念认知的边界;依据学校条件,针对不同学习者的要求,反思学校是否将保障学习者学习成功作为目标,研究学校是否为学习者提供最好的发展空间和渠道、学校的主要任务是否都围绕学习者进行,是否致力于促进和重视多样化、多元化的教学实施。
参考文献
[1]冀天威,石岩,马铁明.“诵、读、研、疑、用”与 中医经典学习[J].实用中医内科杂志,2016(4).
[2]吴越,焦楠,李晓曼,等.中医药经典能力等级考试成绩与课程成绩相关性分析[J].中医教育,2022(2).
[3]余洁英,廖华君,黄仕营,等.“以考促改”中医经典教学改革思路探索[J].湖南中医杂志,2021(5).
[4]冯晓东.“中医康复学专业”建设思考[J]. 康复学报,2017(5).
[5]刘卫东,黄蕾,冯若雯.基于OBE人才培养模式的本科教学质量管理体系重构[J]. 国家教育行政学院学报,2021(10).
[6]高晓霞,陈晓颖,宋粉云.OBE 模式下“药物分析”课程教学改革的探索与实践[J]. 教育教学论坛,2022(34).
[7]许鑫,于树江. 基于OBE 教育理念的高校教师教学绩效指标体系构建[J].华北理工大学学报(社会科学版),2022(5).
[8]马津瑾.OBE 教育理念对高校课堂教学改革的启示[J].郑州师范教育,2022(3).
注:广西高等教育本科教学改革工程一般B 类项目“OBE 理念下中医药经典等级考试促进地方中医院校中医经典等级能力培养的研究与实践——以为例”(2023JGB245)。
(责编 罗汝君)