基于图神经网络的供应链风险传导预警系统设计与实现
刘剑钊
山东亚华电子股份有限公司 255000
一、供应链风险传导预警系统总体设计
(一)系统设计目标与原则
系统的主要目标是监测风险传播路径并在 通过识别企业之间的联系,计算风险在供应链网络中扩散的程度,为关键位置提供具体的防控措施,设计时遵循动态、 原则,动态 时应对网络结构变化,突发事件引起交付延迟在上下游带来的连锁影响[1];预防则是在风险刚开始传 减少整个系统中断的可能性,评估体系中还要考虑环境因素、企业风险态度以及资源配置能力的不同影响,确保预警机制能够适应复杂的外部情况。
(二) 系统架构设计
系统用分层结构把多源数据融合、智能决策结合起来
数据层把企业财务指标(如总资产、资产负债率)、供应链关系(如供应商-客户拓扑)以及运营数据整合起来,构建异构知识图谱。这一层用图数据库存储实体之间的关系,支持快速查询拓扑结构。
图 1 供应链网络 SCNetwork

模型层部署图神经网络算法,用邻域聚合方法提取节点隐藏特征。在空间方面,聚合多个层级邻居风险状态;在时间方面,引入序列模型来捕捉企业行为变化因此建立一个结合时间以及空间特征风险传导预测模型。
图2 供应链违规图神经网络模型

应用层设置风险可视化仪表盘,实时标记高危节点、传导路径,生成定制的防控策略。风险传递热力图清楚展示关键枢纽节点,帮助决策者找到干预目标。
图3 供应链网络风险传递示意图

(三) 系统关键技术选型
图神经网络是系统核心部分。GraphSAGE 算法通过选取邻居节点来实现大规模网络的高效训练,其均值聚合器可以处理供应链关系变化。

这种特性比传统GCN 的固定邻域限制表现得更好。复杂网络分析方法支持对拓扑脆弱性进行评估,用度分布函数验证供应链网络具有无标度特征(P(k)∼k−γ),通过网络结构熵衡量节点之间的重要性差异,动态仿真方法用来模拟风险传播情景,使用改进的 SIRS 模型展示在不同干预措施下感染节点比例变化过程,为调整参数提供实际依据。
二、系统核心模型的构建与实现
(一)供应链知识图谱的构建
供应链知识图谱用结构化方式把实体映射到风险传导路径上。企业作为节点实体,具有多个维度的属性:财务方面涵盖资产负债率、营运资金等21 项指标;运营方面整合交付延 存周转率等动态参数,不同实体之间通过供应商、客户关系建立有方向连接,交易次数、金额被转化为关系权重,图数据库的存储方式支持快速查找拓扑结构同时实现多步风险路径追踪,网络中节点数量分布表现出无标度特征,少数关键节点控制着整体连接情况。

图4 供应链交付延迟风险传递过程示意图
该结构映射物料交付环节的延迟传导机制,箭头方向表征风险传递路径。
(二) 图神经网络预警模型设计
空间维度采用邻域聚合机制捕获风险传染效应。GraphSAGE 算法采样多阶邻居节点,均值聚合器处理动态网络拓扑。

(三)系统功能实现
实时预警模块监测关键节点状态,当风险概率超过0.6 时触发分级推送。消息内容关联企业历史违规记录与供应链依赖度分析报告,辅助决策者定位干预靶点。
该图呈现风险沿供应关系网络的扩散路径,圆形节点直径与风险吸收量正相关。
三、系统测试与结果分析
(一)实验环境与数据集说明
实验环境基于 Python 3.8 平台搭建,用 PyTorch 1.12 以及 DGL0.9 库进行支持[2]。数据集涵盖 1935 个企业节点以及 3891 条供应商和客户之间的关系边,这些数据来自中国经济金融研究数据库,每个节点属性包含21 项财务指标(如总资产、资产负债率)、运营参数(如交付延迟时间、库存周转率),实体之间的关系权重根据交易频率、金额进行调整,数据预处理阶段使用 Min-Max 标准化方法消除不同量纲影响,缺失值通过KNN 插补法进行补充,网络结构分析表明其具有无标度特征(度分布幂律指数 γ=2.3) ,少数核心节点控制整个网络的主要连接。
(二)模型性能评估与分析
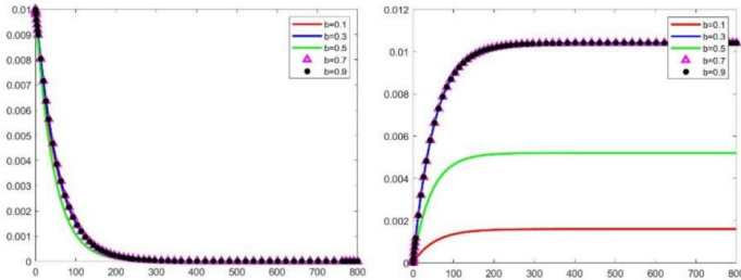
模型表现通过准确率(ACC)、召回率(Recall)、F1 分数进行衡量。基准模型涵盖逻辑回归、SVM 以及MLP,实验结果表明图神经网络模型明显优于其他模型,ACC 达到 0.8156(比 MLP 高 6.07%),Recall 达到 0.7816(比逻辑回归高 49.89%),F1 分数为 0.5236(比SVM 高13.2%),这种强项来源于空间-时序双通路结构对风险传播效果的准确识别,关键变量敏感性分析显示,外部环境变差 (g=-1) 使被感染节点比例最高值升到0.0134,资源调配能力增强(h=e=0.9)让被淘汰节点比例减少40%。
图5 不同疫情严重程度下感染及淘汰节点比例随时间变化情况

(三)系统应用效果展示
系统把应用效果用风险热力图、传导路径的可视化方式展示出来。风险仪表盘通过三阶颜色标记方法动态显示网络状态:高风险节点(y^i>0.7)用红色表示,中风险节点(0.4≤y^i≤0.7)用橙色表示,低风险节点 (γy∧i<0.4α) 用绿色表示,传导路径追溯模块用来找到关键节点到受影响企业的最短路径,路径权重同交易关系强度成反比(PathWeight(eij)=1/wij),实时预警模块在风险概率超过0.6 时发出消息提醒并分析相关企业历史违规记录。案例验证表明,在汽车供应链中,节点9(主制造商)因为延迟敏感度较高,累计风险值达到252.12,系统提前两周生成干预方案[3]。
图6 供应链中断风险吸收量V 随特征路径长度工变化而变化的图像

参考文献
[1]马海马芸,卢涛.供应链网络中企业财务违规风险预测研究——基于图神经网络方法[J].科技促进发展,2025,21(02):120-126.
[2]朱时召.供应链产品交付延迟及中断风险传递研究[D].南京航空航天大学,2023.
[3]景熠,曹柳,张闻秋.基于改进型 GERT 网络的供应链突发事件风险传递研究[J].运筹与管理,2022,31(12):62-68.