水利枢纽工程施工安全风险识别与控制研究
周翔
湖南建工集团有限公司 湖南长沙 410000
施工环境条件复杂是水利枢纽工程难以回避的重大难题之一,也是增加工程施工安全风险隐患的主要原因。如果不能有效识别和控制水利枢纽工程施工阶段可能遭遇的各类安全风险,不仅容易导致工程施工进度的拖延以及施工质量的下降,还可能引发或轻或重的经济损失以及人员伤亡等更为严重的后果。针对此类情况,全面分析水利枢纽工程施工阶段面对的各类安全风险,进而不断提升工程施工安全风险识别和管控水平显得尤为重要。
1 水利枢纽工程施工安全风险识别与控制的意义
1.1 有助于保障人员安全
水利枢纽工程项目普遍具有专业性、复杂性、危险性较强等特点,使得相关工作人员在工程施工过程中需要面对高空坠落、机械伤害、溺水等危及自身安全的隐患[1]。工程施工安全风险识别和控制工作的开展,能够提前发现工程施工现场可能存在的安全隐患,并制定行之有效的防范和应对措施,进而达到确保工程项目施工人员人身安全以及降低意外事故发生几率等目的。
1.2 有助于提升工程施工效率
水利枢纽工程施工安全风险识别与控制工作,不仅是提升工程施工安全性的有效举措,对工程项目施工效率的提升也有着积极的促进作用。因为施工流程梳理和优化作为工程施工安全管理工作的重要组成部分,不仅可以合理分配施工人员以及提升机械设备使用方案科学性,并对工程项目各级责任主体进行明确,更是可以保证工程施工的正常、有序实施。再加上安全管理制度和相关管理措施的切实落实,能够有效避免工程停工以及工程返工等情况的发生。
1.3 有助于保证工程施工质量
施工质量是评估水利枢纽工程整体建设情况的关键指标之一,对水利枢纽工程运行安全性和使用寿命也有着直接影响。而工程施工安全风险识别和控制工作的开展,可以防止水利枢纽工程因各类意外事故而出现损害或质量问题。
1.4 有助于提升工程经济效益
水利枢纽工程施工安全风险识别和控制工作质效的提高,对工程项目经济效益的提升有着重要意义。一方面,可以通过降低人员伤亡等意外事件发生几率,减少其带来的事故赔偿以及工程修复等费用支出;另一方面,更加安全的施工环境是提升施工人员工作积极性和工作效率的有效途径,而水利枢纽工程施工效率的提升,可以显著降低工程项目建设成本 。除此之外,水利枢纽工程施工安全管理能力的提升,不仅是增强施工企业核心竞争力的重要举措,对于施工企业对外形象、社会责任感以及行业公信力的提高也有着巨大帮助。
2 水利枢纽工程施工阶段常见安全风险类型
2.1 自然环境风险
施工环境条件复杂且恶劣,是水利枢纽工程较为突出的特征之一,也是工程施工安全风险的主要来源。首先,是地质环境带来的安全风险。水利枢纽工程施工过程中可能遭遇各类地址状况,如果不能全面、详实掌握工程施工区域地质情况,并针对恶劣地质条件制定妥善、可行的应对方案,很容易引发人员伤亡以及财产损失等更为严重的后果。比如,复杂的地质状况可能会导致水利枢纽工程在大规模挖掘等施工环节出现塌方等安全事故[3];其次,气候环境也是水利枢纽工程需要重视的自然风险类型,恶劣气候条件更是增加工程施工安全隐患的常见因素之一。寒冷天气条件会对很多施工工艺的使用效果产生或大或小的制约与影响,进而引发水利枢纽工程施工进度的拖延等问题。此外,突发暴雨等恶劣天气,则是容易增加工程施工安全事故发生几率。
2.2 设备材料风险
水利枢纽工程施工过程中往往需要使用到大量不同种类的施工材料和大型机械设备,而设备与材料也是水利枢纽工程施工安全风险常见来源。水利枢纽工程施工机械设备使用安全风险,通常来自于工作人员操作不当以及机械运行故障等方面。如果施工机械操作人员没有严格按照相关制度规范进行作业,很容易导致工程施工过程中安全事故发生概率的增加。而机械设备维护保养工作不到位,则是会对施工机械运行安全性和稳定性产生不同程度的影响。对于施工材料而言,如果存在质量瑕疵以及性能不达标等情况,不仅会导致工程结构变形等不同程度的施工质量问题,还可能引发这样或那样的安全事故。
2.3 人员管理风险
人员管理水平也是关系到水利枢纽工程施工安全性的关键要素之一。首先,水利枢纽工程施工过程中涉及到诸多专业领域,再加上施工现场空间有限,使得工程施工中时常出现交叉作业的现象。如果工程项目相关管理人员没有协调好不同工种施工作业,无疑会增加工程施工安全隐患;其次,受培训体系不完善等因素的影响,部分施工人员存在安全意识匮乏等不足,这是导致工程施工过程中安全事故偶有发生的重要原因之一;第三,水利枢纽工程施工现场通常具有人员流动性较强等特点,新进施工人员对施工环境等情况的了解较为片面,且施工人员群体专业技术水平和实践经验参差不齐,同样会增加工程施工安全隐患。除此之外,如果相关管理人员不能切实落实安全管理职责,势必会导致施工现场安全事故发生概率的上涨。
3 水利枢纽工程施工安全风险识别与控制策略
3.1 建立健全工程施工安全管理体系
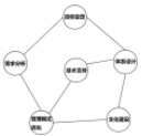
建立健全施工安全管理体系,对水利枢纽工程施工安全风险识别和控制水平的提升有着重要意义。其具体工作应从管理需求分析、管理目标制定、管理体系框架设计、构建安全管理平台等方面着手,如图 1 所示。首先,施工安全管理需求分析工作,可以视为水利枢纽工程施工安全风险识别与控制的前置环节。要求施工安全管理人员基于水利枢纽工程项目具体情况,全面调研以及科学评估工程施工过程中可能遭遇的安全风险。只有详实掌握工程施工安全风险来源、具体影响范围以及关键节点,才能结合水利枢纽工程所用工艺以及环境条件确定安全管理需求;其次,水利枢纽工程施工安全管理目标的设定,应在兼顾工程日常施工安全保障以及重大安全事故防控的基础上,依据工程施工安全管理需求合理规划安全管理目标,从而为后续安全管理体系框架的设计和安全管理工作的开展提供可靠参考[4];第三,水利枢纽工程施工安全管理体系框架设计工作,应以工程项目安全风险评估结果以及安全管理目标为主要依据,围绕组织架构、管理职责划分、安全管理制度以及管理措施等方面构建安全管理体系框架。一方面,通过明确工程施工安全管理层级结构、设立安全管理部门以及配备专业管理人员等举措,确保水利枢纽工程施工安全管理工作能够得以全面落实,另一方面,还应通过完善安全风险监测机制、隐患排查方案、人员培训计划以及应急预案等措施,促进水利枢纽工程施工安全管理流程闭环的形成;第四,可以借助信息技术、大数据技术、人工智能技术等先进科技手段,研发集成化的水利枢纽工程施工安全管理平台。以信息化安全管理平台为载体,创新优化工程施工安全管理模式。既可以对水利枢纽工程施工现场相关数据信息进行实时监测和记录,还可以实现对施工安全风险的动态预警,并为水利枢纽工程施工安全管理决策工作提供必要的参考依据;第五,将安全教育融入到文化建设工作中,是水利枢纽工程施工安全管理体系建设的重要内容。安全教育与文化建设之间的融合,能够有效提高施工安全宣传教育工作的范围和深度,既可以促进工程项目全体工作人员安全施工意识和责任意识的强化,还可以确保安全管理工作能够更好的落实到水利枢纽工程建设各个环节当中。
图1 水利枢纽工程施工安全管理体系构建流程图

3.2 加强对先进控制技术的有效应用
将先进控制技术合理运用于水利枢纽工程施工安全识别与控制工作中,不仅能够显著降低人为因素对工程施工安全管理造成的影响,更是提升工程施工安全管理工作全面性、及时性和实效性的重要途径之一。首先,可以将物联网技术、无线通信技术以及传感器等技术设备,应用于水利枢纽工程施工现场数据信息采集工作中。物联网技术在施工现场安全监测工作中的应用,可以显著提升安全监测覆盖范围以及监测精度。而传感器在施工现场数据信息采集工作中的应用,对于施工现场环境参数采集精确性的提升有着重要意义。辅以使用无线通信技术将相关数据信息及时发送到中央监控平台,能够帮助相关管理人员对工程施工现场进行全方位动态监控;其次,将大数据技术合理应用于工程施工安全风险预测评估工作中。施工安全管理人员借助大数据技术以及先进预测算法,对水利枢纽工程施工历史数据、施工现场实时数据以及环境参数进行综合分析,不仅可以对施工安全风险隐患进行科学预测和量化评估,还可以为后续施工安全管理工作提供必要的决策支持,这对水利枢纽工程施工安全风险识别和控制工作水平的提升有着积极的促进作用;第三,人工智能技术在工程施工安全风险预警工作中的应用,可以依靠其深度学习算法对复杂的施工场景进行智能分析,进而第一时间发现施工现场可能存在的安全风险隐患,并自动生成相应的预警信息发送给工程施工安全监控中心;第四,无人机和机器人等前沿科技手段在水利枢纽工程施工安全监测工作中的应用,除了可以通过航拍方式对工程施工进度进行监测以及实施高空巡检工作,还可以代替工作人员在危险区域开展作业,这对工程施工安全性的提升有着巨大帮助。除此之外,BIM 技术的应用同样是提升水利枢纽工程施工安全风险识别和控制工作质效的有效举措,三维建模技术能够帮助相关技术人员更好的发现空间冲突等安全隐患,而施工模拟技术则是可以在有效识别潜在风险的基础上,对施工方案的优化提供可行建议。
3.3 完善安全事故预防和应急响应机制
建立完善的安全事故预防和应急响应机制,是水利枢纽工程施工安全风险识别和控制工作的重要环节。首先,工程施工安全事故预防机制的目的在于及时发现和妥善治理各类安全隐患。要求相关管理人员根据工程项目安全风险评估结果,围绕工程项目各个施工环节制定全面、系统、可行的安全隐患排查方案,并对相关责任人、排查内容以及排查周期进行详细规划,确保安全隐患排查方案应有作用能够得以充分发挥[5]。同时,水利枢纽工程施工安全风险治理工作的开展,应秉持技术改造为主、制度规范约束为辅的理念。除此之外,安全教育培训工作也是工程施工安全风险预防工作不可忽视的组成部分。通过构建多层次、专业化的教育培训体系,不断提升工程项目全体工作人员的安全意识和意外事件应对能力,这是降低水利枢纽工程施工安全风险发生几率以及影响范围的有效举措;其次,完善安全风险应急响应机制,是高效、妥善处理各类工程施工安全隐患的关键所在,其具体工作主要涉及应急预案的编制、应急资源的配备以及应急队伍的建设等内容。其中,应急预案的编制通常是为安全风险处理工作提供必要的指导和实施依据,也是确保应急响应机制能够正常、有序运行的基础。应急资源配备涉及应急物资、应急设备以及通讯工具等内容,其作用是为了更好的满足安全风险处理需要。应急队伍建设应当注重成员的专业性以及分工的明确性,可以定期或不定期开展专项演练活动,不仅有助于提高应急队伍成员对安全事件的反应速度和处理效率,还可以对应急预案的科学性以及有效性进行验证,确保水利枢纽工程在发生安全事故时能够第一时间启动应急预案以及对事故进行妥善解决。
4 总结:
综上所述,水利枢纽工程施工阶段可能遭遇的安全风险类型及其成因多种多样,对工程施工进度、整体施工质量以及工作人员人身安全都有着巨大影响,无形中提升了安全风险识别与控制工作的必要性。现阶段较为有效的工程施工安全管理水平提升手段,包括健全施工安全管理体系、加强人员培训教育工作以及完善应急预案和应急响应机制等。通过制定可行的安全管理计划以及有效的安全风险控制措施,进而最大限度的降低各类安全事件发生概率以及提升突发事件应对能力,对于水利枢纽工程的按时按质完工有着重大现实意义。
参考文献:
[1]潘经骐,张世安.水利工程施工中的安全风险评估与控制研究[J].水利技术监督,2024(7):98-101.
[2]李永昌.水利工程施工中的安全风险评估与控制措施研究[J].水上安全,2025(9):107-109.
[3]明园园.水利工程施工管理中的质量和安全控制研究[J].风采童装,2025(2):0178-0180.
[4]何志泓.水利枢纽工程施工期安全风险控制与管理策略研究[J].治淮,2025(2):62-63+68.
[5]吴洪擎.基于层次分析法的水利工程施工风险识别及控制措施研究[J].四川水泥,2023(11):35-37.