由一道北京大学强基计划题引发的思考
陶一闻
黑龙江省伊春市第一中学 153000
近日,在做 2025 年北京大学强基计划测试数学题第 2 题时,突然有了一些想法,在此稍作分享。题目如下:
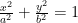
求 c2-2xy+2y2= 4的面积
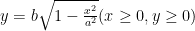
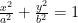
首先了解到,椭圆的标准方程为
时,椭圆的面积为 πab ,即椭圆长半轴长与短半轴长乘积的 π 倍,证明过程可利用定积分求解,证明过程如下所示:
设椭圆方程为
,因为椭圆为轴对称图形和中心对称图形,则在第一象限内对椭圆面积积分的4 倍即为椭圆面积,所以将椭圆方程化简为

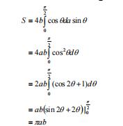
可得面积为:

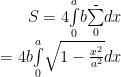
令
,],可得

对于高中生来说,如果没接触过定积分相关内容可能会导致学生无法在考场得出椭圆面积公式,在此给出高中阶段相关方法,即仿射变换。
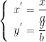
设椭圆的标准方程为 x2 y2 ,做出如下变换,令:

则得到方程:
(x⋅)2+(y⋅)2=1
易知,变换后的图形为圆,面积为 S′=π 。由于变换后, x 轴方向长度变为原来的
, y 轴方向长度变为原来的
,所以变换前后的面积关系为

所以可以得到椭圆的面积为
S=πab
解决完椭圆的面积公式后,我们可以通过求解椭圆的长半轴长和短半轴长,即可得到椭圆的面积。但由于椭圆的方程为一般式,不能通过观察方程直接得到椭圆的长半轴长与短半轴长,在此我们选择用三种方式解决椭圆的长半轴长与短半轴长。
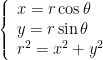
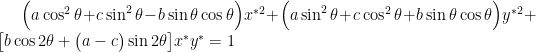
第一种方式,可以将椭圆进行旋转使得椭圆变成标准方程的形式。在此,我们需要再次利用坐标变换的方式将椭圆方程进行变换。令:
x' x cos y sin y' x sin y cos 即 x x'cos y'sin y x'sin y'cos
此项变换利用的是长度不变的情况下将原图形逆时针旋转
,可假设

即可证明旋转前后长度不变,与 x 轴非负半轴所成角度增加 θ 。将


代入所给椭圆一般方程,可得:
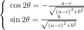
为使椭圆旋转至焦点在坐标轴上,则 x'y' 的系数需为0,所以
sin2θ-cos2θ-sinθcosθ=0 由二倍角公式及 θ 范围可知:

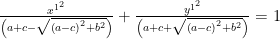
代入椭圆一般方程可得变换后的椭圆标准方程为:

可得椭圆的面积为:
S=4π
在此,对本题做法及结论进行推广:求椭圆ax Ω2+bxy+cy2=1,(b2<4ac) 的面积
结论:面积公式为:

高中阶段方法证明如下:
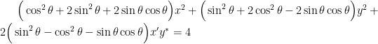
假设:

代入椭圆方程可得:
令 x' y' 系数为 0 ,可得:

所以可得椭圆旋转后的标准方程为:

所以可得:

本题也可以利用椭圆的性质换种方式去求解椭圆的长半轴长与短半轴长。
易知,椭圆上的点到对称中心距离最远是 a ,距离最近是 b 。本题中对称中心为坐标原点,我们也可以转化为求到原点距离的最大值与最小值,从而得到 a,b 的值,做法如下:
设
,所以可得:
易知该方程有解,则 Δ≥0 ,即:
易知:

4
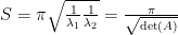
我们也可以将视角提升至高等数学,在高等数学中,对于二维平面的坐标系旋转,我们通常可以通过旋转矩阵

将二维平面中的点或向量进行旋转,正好对应上述变换,由此发现,本题也可以用矩阵与行列式相关知识进行解决。
设椭圆方程为:
ax2+bxy+cy2=1
易知矩阵

为该二次型所对应的矩阵,易知该矩阵为实对称矩阵且特征根为正,所以存在正交矩阵 P 使得 PTAP=diag(λ1,λ2) ,其中 λ1,λ2 为矩阵 A 的特征值,其中特征根之和为矩阵的迹,特征根之积为矩阵的行列式(det 值),即

所以可得椭圆的面积为:


我们可以发现,上述方法与我们利用高中方法解决问题方式大同小异,但计算量远远小于高中方法的计算量,作为本次试卷的第二题,还是很考验学生对于坐标系的旋转与变换掌握程度的,或者需要学生有较深的高等数学相关知识储备。
在本题的解决当中,我们既利用了仿射变换将椭圆转换成圆去求解面积公式,也利用了坐标旋转,将焦点不在坐标轴上的椭圆旋转到焦点在坐标轴上,根据标准方程进行计算。从而可见高中阶段对于坐标变换的掌握是重要的,在平面向量及解析几何等二维空间问题的解决中往往有着“奇效”。第二种高中阶段方法利用的是椭圆的性质进行齐次化转化,也比较考验学生的思维,对于学生的思维考察较深,整体体现出“多想少算”的趋势。