接地电阻测试仪示值误差不确定度评定
盛元栋
营口市计量检定测试所 115000
一、概述
1. 测量依据:JJG366-2004《接地电阻表检定规程》。
2. 测量环境条件:温度( 20~25 ) °C ,相对湿度( 40~75 )% 。
3. 测量标准及其主要技术要求:0.05 级接地电阻仪检定装置。
4. 被测对象:KEW4105DL 型数字式接地电阻测试仪。
5. 测量方法:用接地电阻仪检定装置做参考标准,对接地电阻测试仪检定,并进行不确定度分析。
二、测量模型
Δ=R-R0
式中 Δ 被检接地电阻测试仪的绝对误差(Ω),
R ——测试仪电阻示值(Ω),R0 ——接地电阻器仪检定装置示值(Ω)。
三、相关系数

四、输入量的标准不确定度评定
1、标准不确定度的评定:
接地电阻测试仪示值误差的标准不确定度来源主要有:测量重复性、仪表的分辨力、标准器的准确度等级等带来的误差。
JD-1C 各盘最大允许误差见下表:
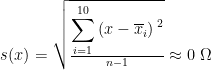
1.1 测量重复性引入的标准不确定度 u1
平均值
单次实验标准差
在 100Ω 点, 重 复 测 量 10 次, 得 到 100.2Ω、100.2Ω、100.2Ω、100.2Ω、100.2Ω、100.2Ω、100.2Ω、100.2Ω、100.2Ω、100.2Ω。
1.2 仪表分辨力引入的标准不确定度 u2
5.4 扩展不确定度的评定
取 k=2 ,则:
扩展不确定度 U=kuc=2×0.041=0.1Ω 相对扩展不确定度:
%
五、合成不确定度的评定:

5.2 标准不确定度的汇总表所以测量重复性引入的标准不确定度 u1=0Ω
u2 可以采用 B 类方法进行评定。由仪表分辨力 b 导致的示值误差区间,半宽 a=b/2 ,按符合均匀分布,包含因子
,由于在 100Ω 点,是被检仪表分辨率为 0.1Ω ,因此 u2=0 . 0.5/k=0. 029Ω 。
测量重复性引入的标准不确定度 u1 和仪表分辨力引入的标准不确定度 u2 两者取最大者,实际检定中,分辨力带来的不确定度大于测量重复性,因此,取输入量 u2 带来的标准不确定度即取分辨率引入的不确定度,即0.029 Ω。
5.3 由于 u2 , u3 彼此互相独立,
1.3 接地电阻仪检定装置带来的不确定度 u3
交流第一盘的精度为 0.05 级,即在 100Ω 点误差为 ± ( (0.05%×100) )=±0.05Ω ,半宽区间 0.05Ω ,在区间内可以认为均匀分布,包含因子 k 取
,所以由标准器带来的标准不确定度为:
相关系数

5.1 灵敏系数
同样的方法可以得到接地电阻测试仪在各段的不确定度见下表:
