行列式的计算问题在应用型民办本科院校的渐进式求解方法探讨
刘晓燕
广州工商学院 广东广州 510850
引言
上世纪末,我国高等教育从精英化向大众化转型,传统学术型大学难以满足社会对技能型人才的需求,“应用型”高等院校成为全球高等教育分类发展的趋势。进入二十一世纪以来,随着产业升级和职业教育改革,教育部在《国家中长期教育改革和发展规划纲要(2010-2020 年)》中明确要求高校“分类办学”,推动部分地方本科院校向应用型转型 [1]。2015 年,国务院《关于引导部分地方普通本科高校向应用型转变的指导意见》正式提出“应用型本科”概念,强调产教融合、服务地方经济,标志着应用型高校成为我国高等教育体系的重要组成[2]。这一提法顺应了经济发展对实践型人才的迫切需求。应用型高校的发展,使得应用型本科院校以培养高素质应用型人才为目标,强调理论与实践相结合。应用型本科院校区别于传统学术型高校,更注重学生的职业适应性和技术创新能力。
线性代数是数学的重要分支,也是理工科、经管类等专业的核心基础课程,能够培养学生严谨的思维能力,提升学生解决实际问题的能力。行列式作为线性代数课程的基本内容之一,其计算方法与算法逻辑都与四则运算有很大区别。对于初步接触此类算法的学生来说,难度很大。特别是对于应用型民办本科的学生来说,行列式的运算很有难度。因此,如何找到合适的计算方法进行相关运算,如何能够做到让各个层次的学生都能掌握至少一种计算方法显得极为迫切。
一、“线性代数”课程在应用型民办本科的教学现状
线性代数以向量、矩阵、线性变换等为核心概念,具有较高的抽象性。不同于微积分的直观数值计算,线性代数更强调空间结构和代数运算的抽象关系,如行列式、秩、特征值等概念需要较强的逻辑思维能力。课程内容具有严格的数学逻辑体系,从向量空间、线性方程组到矩阵分解(如 LU 分解、QR 分解),各知识点环环相扣,前后关联性强,必须循序渐进学习,否则容易导致知识断层。尽管理论抽象,但线性代数在计算机科学、人工智能、工程优化、经济学等领域有广泛应用,具体可以体现在数学建模上面[3]。
随着应用型本科院校人才培养目标的转型,线性代数作为理工科专业的基础课程,教学定位与专业需求存在脱节。多数院校仍沿用传统学术型教学模式,偏重理论推导而忽视应用场景 [4]。调查显示,超过 60% 的工科专业学生无法将矩阵运算与专业领域的工程问题相联系。课程内容与大数据处理、机器学习等前沿技术需求衔接不足,导致 " 学用分离 " 现象突出。同时,其教学方式也面临着双重挑战:1、学生基础差异显著:应用型院校生源数学基础参差不齐,统一化教学难以满足需求,部分学生因行列式计算等基础技能薄弱产生畏难情绪。2、实践环节薄弱:实验课时占比普遍很低,MATLAB 等计算工具的教学往往流于形式。有应用型高校调研数据显示,仅少数教师能熟练开展数学建模案例教学。
二、行列式计算的定义方法
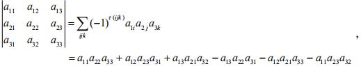
在线性代数的教学内容中,行列式计算是非常重要的一个部分。行列式的本质是一个数,这个数的计算方法区别于四则运算,有其独特的结构与计算规则。对于由 n2 个元素组成的 n 阶行列式,其值定义为 [5]:

其 中, τ(j1j2…jn) 表 示 j1j2…jn 构 成 的 排 列 的 逆 序 数,∑ ( 1)τ( j j2 jn ) a a2 j2 anjn 表示取遍 j j2 jn 所有可能的排列。
从定义式可以看出,n 阶行列式的展开式一共有 n !个 Πn 个元素相乘的项。对于二阶,三阶行列式而言,数量不大,可以使用。例如:
|a11a12|=(-1)τ(12)a11a22+(-1)τ(21)a12a21=a11a22-a12a21,

二阶行列式有 2!=2 个两个元素相乘的项,三阶行列式有 3!=6 个三个元素相乘的项,直接展开,难度不大。但是当阶数增加时,四阶行列式有 4!=24 个四个元素相乘所得的项,五阶行列式的展开式更是有高达 5!=120 个五个元素相乘的项。高阶行列式的计算除了项数数量庞大,每一个项还需要判断其逆序数来决定其符号,计算量非常庞大。所以,运用行列式的有关性质进行计算是一个可行的办法。
三、行列式计算的性质方法
从行列式的定义可以看出,行列式展开后是一系列元素相乘之后再相加的一个运算,如果行列式中有一些元素的值是 0,则展开的项中若包含 0 元素,则这些项无需计算,直接赋 0 即可。运用行列式的性质,可以对行列式进行有效的处理[6],使得行列式中多出现一些 0 ,从而达到简化运算的效果。
由于行列式是一个数,根据其计算的定义式,有以下几个性质可以用来对行列式进行处理。所有性质的使用都需要保持所要计算的行列式的值。
行列式的有关性质 [5]:
1)将行列式的进行转置(行列式的行与列互换),行列式的值不变。简记“转置不变”。
2)交换行列式的两行,行列式的值要变号。简记“换行变号”。
3)行列式中某一行的公因子可以提出,行列式的值不变。简记“行因可提”。
4)将行列式某一行所有元素的 k 倍加到另一行对应位置的元素上,行列式的值不变。
这些性质里面,所有的行运算同样适用于列运算。即行列式里面行所具有的运算性质,列变换也有同样的运算性质。
运用行列式的这些性质,可以将行列式中的元素进行处理,使得行列式的计算得到极大简化。特别是性质 4)的运用,可以将行列式中的一些元素变成 0,而且不影响行列式的值。另外,由于上三角或者下三角行列式的值等于其主对角线上元素的乘积,所以可以运用行列式的性质,对行列式进行有效的处理,将行列式转化为上三角或者下三角的行列式,以便于更方便地得出行列式的值。
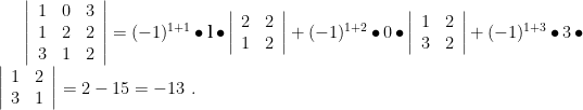
例如一个三阶行列式,我们先按照定义式进行展开计算:

在这里可以看到,行列式的展开式中有带有 0 的项有两项。当行列式中含有 0 元素时,计算量就会减少。如果按照行列式的性质,先对行列式进行处理,例如,将行列式通过相关的性质,等价地转化为一个上三角的行列式,可以得到:

从这里两个对比计算可以看出,虽然由于是三阶行列式,两种方法计算量相当。但是当行列式通过性质转化为上三角形式之后,计算更为便捷。当行列式的阶数增大时,这种优势会体现的更加明显。
四、行列式计算的按行展开方法
运用行列式性质,将行列式转化为上三角行列式,可以使得行列式的计算更加简便。但是同时,可以看到,行列式的运算都涉及到每一行元素与另一行对应位置上元素的运算,当阶数比较大时,计算仍然显得较为繁琐。接下来,介绍一种行列式有效降阶的方法,此方法的引入同样需要行列式性质的运用。首先,引入一下行列式的按行展开:
定理: Πn 阶行列式 D=|aij| 等于它任意一行(列)的元素乘以其对应的代数余子式之和,即:
D=|aij|=ai1Ai1+ai2Ai2+…+ainAin,i=1,2,…,n
D=|aij|=a1jA1j+a2jA2j+…+anjAnj,j=1,2,…,n.
余子式指的是在 Πn 阶行列式 D=|aij| 中去掉元素 aij 所在的第 i 行和第j 列后余下的 n-1 阶行列式,记作 Mij∘ 。代数余子式指的是将余子式添上符号 (-1)i+j 之后所得,记作 Aij=(-1)i+jMij∖ 。
根据代数余子式的定义,可以将对一个 Πn 阶行列式的计算转化为n 个
阶行列式的计算,从而达到降阶的目的。

通过以上计算过程来看,行列式按行展开之后,虽然行列式的阶数降了 1 阶,但是需要计算多个行列式,计算的行列式数量增加了,所以并不会明显减少计算量。但是可以发现,如果该行有 0 元素,降阶之后需要计算的行列式数量会减少,也就是计算量会显著减小。
五、行列式计算举例说明
行列式计算是一个复杂的过程,如果能够将以上方法进行有机结合,可以将行列式的计算进行简化。例如:

从上面的计算可以看出,首先运用了行列式的性质,将行列式的第一行第一列位置元素保留,第一列上的其它元素都变成 0,然后运用行列式的按列(第一列)展开,将一个三阶行列式展开成了一个二阶行列式,计算复杂度与难度得到极大简化。
这类运算方法在高阶的行列式运算里面优势表现得更加明显。例如:


整个运算过程结合了行列式性质运算,行列式的按列展开,以及二阶行列式的定义展开来进行。比直接使用一种方法计算来的更加便捷,运算速度更快。
六、结语
行列式是线性代数课程教学中的一个核心内容,也是很多工程学科进行数据处理的有效方法。行列式由于其本身的特殊性,其计算过程总的来说还是很复杂,特别是高阶的行列式计算。有学者已经对相关内容做了总结 [7],特别是特殊的行列式计算,需要用到很多方法与技巧。但是对于应用型本科院校的学生来说,人才评价不仅关注理论考试,更侧重项目实践、技能竞赛等应用能力的考核,以增强学生就业竞争力 [8]。如何让学生快捷的掌握一门技能是应用型本科院校教师需要思考的。随着计算工具(如MATLAB、Python 的NumPy 库)的普及,数值计算能力成为重要培养目标。在基础课程课时量被压缩的情况下,如何教会学生使用这些工具也是一个长远课题。
参考文献
1]https://www.gov.cn/jrzg/2010-07/29/content_1667143.htm
[2]https://www.ndrc.gov.cn/fzggw/jgsj/shs/sjdt/201511/ t20151120_1121667_ext.html
[3] 陈发来.线性代数课程应用案例的设计与教学 [J]. 大学数学,2025,2:107-113.
[4] 闵兰,陈晓敏.《线性代数》研究性教学案例 [J]. 西南师范大学学报.2010,35(6):206-208.
[5] 赵树嫄.线性代数(第六版)[M]. 北京:中国人民大学出版社,2021.8
[6] 刘晓燕.初等行变换在应用型民办本科院校“线性代数”课程教学中的应用 [J].时代教育,2024,1:58-59
[7] 马 杰.线性代数学习指导 [M].北京:机械工业出版社,2002(2):151 - 252
[8] 余跃玉 , 唐海军.《线性代数》的教学反思与实践探索 [J].四川文理学院学报 ,2023,33(05):75-80.
基 金 项 目:2024 年 佛 山 市 自 筹 经 费 类 科 技 创 新 项 目(2420001004712)