西安数字经济与实体经济融合发展:测度评价与实现路径
陈欣
陕西国际商贸学院 陕西西安 712046
一、研究现状
(一)国内外研究现状
李忠海 , 刘永彪 [1] 基于内生增长理论框架,在综合数据要素经济视角特征和物理视角特性的基础上 , 围绕数据要素嵌入内生经济增长逻辑提炼出六大特征。并且提出促进数字经济与实体经济深度融合的对策建议。魏巍 [2] 基于数字背景之下,分析了传统产业发展存在的基本问题,包括:智能化、数字化应用水平偏低、产业链不够成熟完善、高端人才匮乏,核心竞争力不强。并且提出了数字经济背景下 A 市传统产业转型发展的路径。陈曦[3] 分析了数实融合过程中存在的问题,并从相对微观的产品层、企业层、产业层探究数字经济与实体经济融合的路径。朱灵 [4] 以成都为例,分析了数字经济和实体经济融合存在的问题,并且提出了数字经济和实体经济融合的改革措施,包括加强网络基础设施建设、提升数据共享能力、不断完善数字经济发展体系。吕明元,麻林宵 [5] 分析了“十四五”时期数字经济与实体经济融合发展的趋势,并且提出了当前我国数字经济与实体经济融合存在的主要问题,最后提出了“十四五”时期促进数字经济与实体经济深度融合的对策建议。张帅,吴珍玮 16] 以中国 31 个省级单位为研究对象,通过熵值法、协调度和空间计量模型等方法,从时序演变方面、空间格局方面、空间关联方面、驱动因素方面探究了 2013—2019 年中国数字经济与实体经济融合的时空演变特征,并提出了相应的建议。郭晗,全勤慧 1/1 运用耦合协调度模型,选取 2013—2020 年的省级面板数据,测算并分析了我国数字经济与实体经济的融合程度。并且进一步提出了加快数字经济与实体经济融合的路径与对策。姜松,孙玉鑫 [8] 通过用加权最小二乘法等实证模型分析了数字经济对实体经济影响的总体效应,并分析了不同实体经济水平下数字经济的条件性效应,最后分析了数字经济对实体经济的阶段性影响特征,结论表明,数字经济的快速发展已经对实体经济产生了一定的“挤出效应”。
(二)文献述评
以往的文献较多的从理论的角度分析数字经济和实体经济融合的问题及相应的解决路径,或者主要是对于数字经济和实体经济的融合水平进行测度,较少的把理论分析和实证分析结合在一起。
二、研究意义
(一)理论意义
2017 年,中国信通院发布的《中国数字经济发展白皮书》明确提出,数字经济的构成包括两大部分:数字产业化和产业数字化。推动数字产业化能够为产业数字化发展提供数字技术;产业数字化转型的推进,又会产生关于各行各业生产经营销售等的大量数据,为数字产业化提供数据资源。数字经济与实体经济的融合已成为必然走向。这种融合不仅改变了我国现有的生活生产方式,更推动了社会的进步与发展。本文通过分析数字经济和实体经济的融合的水平,以期为未来的融合路径提出新的思路。
(二)实践意义
数字经济,以其高效、便捷、创新的特点,正在深刻地改变着大家的生产方式、生活方式乃至思维方式。而实体经济作为经济发展的基石,为数字经济的发展提供了丰富的物质基础和应用场景。本文旨在探讨数字经济与实体经济的相互影响,并揭示融合发展的路径与策略,对实现经济高质量发展具有很大的促进作用。
三、西安市数字经济与实体经济发展现状
(一)西安市数字经济发展现状
西安市作为西部地区的经济中区,辐射带动西部地区的发展。从2024年西安数字经济年报中可以看出,数字经济已成为核心增长引擎。2024 年上半年数字经济核心产业规模达 527.51 亿元,在 GDP 总量中所占份额约为 9.2%。西安市聚焦软件和信息服务、物联网等 10 个重点数字产业集群新建 1,028 个 5G 基站,主城区 5G 网络基本全覆盖。雁塔人工智能创新发展中心助力 400 多家企业的创新发展,为西安市的数字经济的发展提供了强有力的支撑。
(二)西安市实体经济发展现状
西安市工业经济发展良好,创新优势驱动工业发展。尤其是经开区的配套政策,更好地为科创型的企业提供了生长的土壤。在光伏领域,经开区光伏产业集群发展态势良好,以隆基绿能为龙头的光伏产业产业领域,构建了一条完整的产业链,使得产业规模不断扩大。在新能源汽车领域,依托于比亚迪、吉利等龙头企业以“链长制”推动产业发展,并且通过政策引导充电设施建设布局,除此之外,例如生产汽车内外饰件的西安智德汽车、研发生产智能底盘零部件的中鼎等汽车产业链配套企业的融入,构建了良好产业生态,成为了更加紧密的产业共同体。
(三)西安市数字经济和实体经济融合发展现状
数字经济作为发展的新引擎,加快数字经济的发展是必然。西安市坚持融合赋能,将数字技术推广至经济发展的各领域,以提升生产效率,为传统行业赋能,实现从“智变”到“质变”的转变。首先,政府支持力度大,发布了《西安市推动数字经济高质量发展若干措施》等政策措施着力构建数实深度融合的生态。其次,2023 年西安市数字经济核心产业增加值占 GDP 比重超过 9%,为数实融合提供了坚实的基础。最后,西咸新区沣西人工智能产业园充分叠加高校资源,打造硬科技新一代升级版园区。
四、西安数字经济与实体经济融合发展测度模型
(一)西安市数字经济发展水平测度
依据指标选取的代表性、数据的可获得性、客观性等原则,并结合以往学者的研究,本文分别从以下几个维度构建西安市数字化水平发展体系,进而运用时间序列数据揭示西安市数字化水平的差异。
表 1 西安市数字经济发展水平测度指标体系

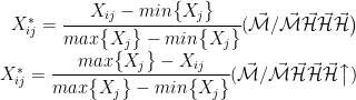
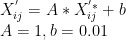
本文主要采取熵值法,熵值法主要是通过计算熵来确定指标权重。具体步骤如下:
1. 无量纲处理

2. 指标缩放与平移

3. 数据归一化

4. 计算相对信息熵

5. 计算相对信息熵的冗余度
6. 计算权重

7. 计算综合评价得分

(二)西安市实体经济评价指标
本文参考周佳卉 [9] 学者的做法,选取西安市工业增加值占地区生产总值的比重来衡量实体经济发展水平。
(三)评价结果
根据上述计算公式,分别计算出 2011 年 -2022 年数字经济与实体经济发展水平,如下表所示从 2011 年到 2022 年,西安市数字经济发展水平和实体经济发展水平均呈现波动性态势。
表 2 西安市数字经济和实体经济发展水平测算结果

(四) 数字经济与实体经济融合发展水平的测度及分析
本文采用耦合协调度模型来测算表示西安市数字经济与实体经济融合发展水平,用耦合协调度来表示两者的融合发展水平。具体公式如下:

DE 和RE 分别表示西安市数字经济和实体经济的发展水平,C 表示耦合度,D 为耦合协调度,鉴于数字经济与实体经济均为经济发展的关键范畴,因此将两个待定系数α 和β 取值为 0.5。
表3 数字经济与实体经济耦合协调度测算结果

根据上述公式测算出数字经济和实体经济的耦合协调度,实证结果见上表。2011 年到 2013 年耦合协调度呈现上涨趋势,2013 年到2015 年,耦合协调度从 0.452 下降为 0.355∘ 。后续基本呈现波动式上涨趋势。
五、西安市数字经济与实体经济融合发展的实现路径
(一)夯实数字基础设施建设
虽然目前西安市数字基础设施的建设已经取得了显著的进展,但是仍然存在很多短板。所以需要进一步夯实数字基础设施,确保数字经济发展的根基稳固。西安市必须要进一步优化升级数字经济的基础,不断推进传统基础设施的数字化转型。从算力规模、算力平台、大模型应用等方面不断推进西安市一体化算力体系。
(二)加强高素质人才的培养
数字经济与实体经济的融合,离不开精准适配的复合型人才。首先,可以持续推进“西安英才计划”,主动引进更多科技前沿人才,为产业创新融合提供人才支撑。可以通过教育、医疗、租房补贴等方面进一步为人才带来更好的体验,从而吸引更多的人才。其次,还需要不断发挥高校优势,持续培养数字经济领域的人才。目前,西安邮电大学、陕西科技大学等多所高校先后开设了数字经济等相关专业,直接培养既懂数字经济,又懂实体经济行业的复合型人才。更好地解决人才供需错配的问题。最后,加快技术转化落地,通过高校在数字经济领域的科研成果与实体经济相结合,进一步提升企业的生产效率。还可以通过和企业合作建设产学研合作平台,共同创新研发。
(三)锚定优势产业,形成数实一体化的格局
西安市在许多产业上应用有良好的产业基础,例如:汽车、航空航天、电子信息制造等产业,通过锚定优势产业,充分发挥产业的优势,从而可以进一步降低数字经济与实体经济融合的难度。例如,西安市的电子信息制造产业已经形成了完整的产业链条,聚集了上千家上下游企业,具备强大的产业集群效应,通过数字经济的融入可以进一步提升其竞争力。
除此之外,优势产业在数字经济与实体经济融合方面能起到良好的示范带头作用,如果优势产业成功实现数实一体的融合之后,能够很好的为其他企业提供可借鉴的经验模式,带动全市的数字化转型。
六、总结
数字经济与实体经济的深度融合能够进一步激发实体经济的潜能,同时为数字经济的落地提供基础,更好的实现双向赋能。西安市作为“一带一路”的核心节点城市,具备政策支持优势和产业基础优势,在西部经济的发展中起到重要的引领作用。所以西安市必须要抓紧机遇,不断地升级产业链,形成新生态,为进一步拉动经济增长提供基础。
参考文献
[1] 李忠海 , 刘永彪 , 后雨萌 . 我国数字经济与实体经济融合发展的理论逻辑和关键路径——基于内生增长理论视角 [J]. 金陵科技学院学报 ( 社会科学版 ),2022,36(01):1-8.
[2] 魏巍 . 浅析数字经济背景下传统产业转型发展的路径——以中部地区 A 市为例 [J]. 新西部 ,2020,(Z6):114-116.
[3] 陈曦 . 推动数字经济与实体经济深度融合:理论探析与实践创 新 [J]. 人民论坛·学术前沿 ,2022,(24):64-76.
[4] 朱灵 . 加快数字经济与实体经济深度融合的方法分析——以成都实践为例 [J]. 现代信息科技 ,2019,3(23):196-198.
[5] 吕明元 , 麻林宵 .“十四五”时期我国数字经济与实体经济融合的发展趋势、问题与对策建议 [J]. 决策与信息 ,2022,(02):66-71.
[6] 张帅 , 吴珍玮 , 陆朝阳 , 等 . 中国省域数字经济与实体经济融合的演变特征及驱动因素 [J]. 经济地理 ,2022,42(07):22-32.
[7] 郭晗 , 全勤慧 . 数字经济与实体经济融合发展:测度评价与实现路径 [J]. 经济纵横 ,2022,(11):72-82.
[8] 姜松 , 孙玉鑫 . 数字经济对实体经济影响效应的实证研究 [J].科研管理 ,2020,41(05):32-39.
[9] 周佳卉 . 数字经济与实体经济融合的统计测度研究 [J]. 中国统计 ,2023,(07):10-13.
项目:西安市 2024 年度社会科学规划基金项目,项目名称:西安数字经济与实体经济融合发展:测度评价与实现路径,项目编号:24JX05;
作者简介:陈欣(1993 年10 月),女,汉,陕西咸阳,硕士研究生,讲师,陕西国际商贸学院,区域经济学