Technology Forum
一元函数极限的方法研究
张伟聪
海南工商职业学院 海南海口 570203
1 前言
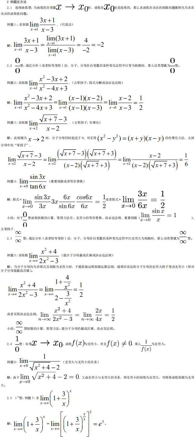
函数极限是高等数学中的一个重要的知识点,有关概念和定理见文献[1],许多初学者在学习函数极限往往难以找到解题的方向和思路,选择合适的方法可以将复杂的问题简单化,从而简化计算过程。然而,计算函数极限的方法较多,众多教辅书和文献研究都以解题方法来讲解习题,初学者往往难以确定求解方法,因此,如何快速确定求解的方法,是许多初学者面临的一个难题,本文归纳一些常用的求解思路和步骤,由题目的类型来选择解题方法,即“先分类,后方法”,提高计算的效率。


元函数极限作为高等数学的重要组成部分,其思想和解题方法的掌握也会直接影响到多元函数极限地学习,函数极限在许多领域有着广泛的应用和意义,如:在物理领域用来描述物体运动状态等。本文探索出“先分类,后方法”的解决思路,通过这一思路先判断函数极限类型,进而有针对性选择最优的解题方法,这样的求解思路,便于快速深入研究极限问题、极限的计算以及极限思想的应用,通过大量的习题练习,验证了这一方法对于常见题型求解的有效性是较好的。
参考文献:
[1] 同济大学数学系. 高等数学[M]. 北京: 高等教育出版社,2014.
[2] 张岭 . 等价无穷小在待定型幂指函数极限中的应用 [J]. 高等数学研究 ,2022,25(05):57-58.
[3] 路群 . 浅谈极限的计算 [J]. 科技风 ,2025,(02):107-109.
作者简介:张伟聪(1989.01-),男,汉族,人,硕士研究生,学校:,讲师,应用数学。