汽车正面碰撞安全气囊缓冲特性多目标优化探究
孟凡昌
锦州锦恒汽车安全系统股份有限公司 辽宁省锦州市 121000
汽车行业不断发展,逐渐提高了汽车持有量,人们也高度关注汽车安全问题。安全气囊利用气体快速膨胀,可以保护乘员,避免碰撞问题伤害人体健康。当前安全气囊触发机理存在不完善问题,例如气囊虽然可以避免乘员发生严重的碰撞损伤,但是也可能会伤害乘员。因此需要优化汽车安全气囊使用性能,提高气囊触发的精准性,有利于进一步优化汽车安全性能。本文利用 MADYMO 软件优化安全气囊缓冲效果的参数,切实保障乘员的安全性。
一、汽车安全气囊的重要性
在现代汽车安全技术中,汽车安全气囊发挥重要的作用,当汽车遭受碰撞之后,气囊快速膨胀可以保护乘员的安全性,避免出现严重的伤害【1】。安全气囊可以快速膨胀形成软垫,避免乘员直接撞击车内方向盘和仪表板等硬物,尤其可以保护乘员的头部和胸部等。利用正面碰撞气囊,可以对驾驶员和前排乘客发挥保护作用,避免出现致命损伤。利用侧面气囊和窗帘气囊,可以对侧面撞击发挥出保护作用。同时及时落实缓冲保护,可以优化车辆的减伤率。
配置安全气囊关系到车辆乘员的安全性,同时在汽车安全评级中安全气囊属于重要的因素。优化安全气囊设计工作,可以提高汽车的竞争力,同时可以推动整个汽车行业的发展,提高整体安全标准。
汽车安全气囊可以在发生碰撞的时候保证汽车安全性,在最大程度上保护乘员安全,提高汽车安全评价水平,促进现代汽车安全系统的可持续发展。当前在汽车设计过程中,需要实现安全气囊的安全创新。
二、汽车正面碰撞安全气囊缓冲特性多目标分析
(一)乘员保护效果相关目标
在汽车正面碰撞事故中,头部很容易受到伤害【2】。头部伤害常见类型为脑损伤,将会引发严重的后果。头部伤害指标 HIC 值是对头部受伤程度衡量的重要参数,可以将头部承受的加速度和作用时间反映出来。HIC 值通过计算头部合成加速度在一定时间间隔内的积分,计算值较大,说明头部承受较大的风险。安全气囊缓冲特性和 HIC值之间具有紧密的联系,优化安全气囊缓冲特性,合理降低汽车碰撞时头部加速度值和作用时间,合理减少 HIC 值,可以有效保护头部。
胸部在汽车正面碰撞中也很容易受到损伤,常见的损伤形式包括肋骨骨折。对胸部损伤程度评价的过程中利用胸部压缩量,可以将碰撞过程中胸部被压缩的程度反映出来,如果压缩量过大,将会提高肋骨骨折和内脏损伤的发生率。对碰撞阶段胸部承受的加速度进行分析,主要是利用胸部 3ms 合成加速度,如果加速度过高,胸部将会承受较大的作用力,引发损伤问题。安全气囊缓冲特性关系到胸部伤害指标,优化缓冲特性,可以对胸部承受的冲击力给予分散,保证胸部压缩量和 3ms 合成加速度在合理范围内,避免引发严重的胸部损伤。
(二)气囊自身性能目标
气囊展示开始关系乘员保护效果,如果过早地展开气囊,不利于发挥出气囊的缓冲作用,而且还会因为气囊膨胀阶段的冲击力上海乘员。如果气囊开展时间比较晚,乘员已经接触到车内硬物,这时已经无法发挥出气囊的保护作用【3】。气囊展开时间的主要影响因素为点火时刻,提高点火时刻控制的精确性,保证乘员在没有接触车内部件的时候已经展开气囊,可以充分发挥出保护作用。
合理控制充气压力,关系到乘员保护作用。如果压力比较高,乘员接触气囊的时候会受到较大的冲击力,从而伤害到乘员的头部和胸部等。如果压力比较低,不利于发挥出气囊保护作用。气囊充气压力的主要因素为气体质量流量,如果气体质量流量较大,在短时间可以形成较大的压力,如果力量较小,将会降低充气速度,压力不符合标准。此外气囊材料和形状等也会影响到充气压力。
三、汽车正面碰撞安全气囊缓冲特性多目标优化
(一)建立成员约束系统数值模型
利用 MADYMO 软件构建汽车乘员约束系统模型,如下图所示。在该模型中,触发形式包括以下几种类型:1.人体和汽车内部接触。2.人体和安全气囊、安全带的接触。3.安全气囊和安全带接触,同时涉及气囊自身接触。在前两种接触种,接触表面穿透力和刚体接触刚度关系到接触力大小,通过调整穿透量和卸载曲线等,可以确定刚体接触阶段中产生的非线性弹性力和粘滞阻尼力。
图 1 汽车乘员约束系统数值模型

(二)汽车碰撞中人体损伤响应评价
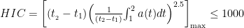
1. 头部损伤评价:在车辆正面冲击中,头部很容易发生损伤,这也是安全气囊的重要保护对象。对安全气囊保护性能评估的过程中,需要对头部损伤程度进行分析,可以利用以下公式计算头部损伤的 HIC 值。

上式中 a(t)代表碰撞 阶段头部质心合成加速度。 t2-t1 代表头部损伤最大值的时间间隔,在实际应用中设置 36ms 为最大时间间隔,HIC 值耐受限度为 1000
2. 胸部损伤:胸部是另一个需要保护的器官,在汽车碰撞阶段,安全带对成员胸部会产生限制作用,因为人体惯性影响,可能会引发肋骨断裂等损伤【4】。人体胸部受伤最大容限,指的是在胸部受力的线性加速度超过 60g 短时间在 3ms 范围内。
(三)安全气囊缓冲特性多目标优化
1. 气囊缓冲特性多目标优化问题的描述
如果汽车出现正面碰撞的情况,乘员的头部和胸部是最容易受到损伤的部位。为了优化气囊缓冲特性,一方面需要调整充气速度,另一方面需要调整充气压力,设计变量包括充气速率缩放系数和充气时间缩放系数,多目标优化问题可以利用下式表示:
Min fH(xs,ys)
fT(xs,ys)(2)
0≤xs≤2 , 0≤ys≤1.5
上式中,f 代表颈部损伤,f 代表胸部损伤。 xs 代表安全气囊充气速度缩放系数,ys 代表充气时间缩放系数。
2. 微型多目标遗传算法
多目标优化问题的求解往往由一组不能互相对比的求解过程构成,这类问题被称为“非劣解”或 Pareto 解。与经典的高维多目标优化方法相比,多目标遗传算法不仅能够求解多个 Pareto 最优,而且无需任何数学前提,也适用于各类目标函数与限制。该方法以微小型遗传算法为理论依据,利用小型群体,提高了求解效率。
3. 优化结果和分析
利用微型多目标遗传算法,求解式(2)描述的多目标优化问题。下图为迭代 200次之后目标函数值获取的最优解集在目标空间的象点。结合下图可以确定,最优解分布具有均匀性特点。
图 2 安全气囊缓冲特性多目标优化结果

获取气囊缓冲特性多目标优化的最优解,经过 200 次迭代之后,获取头部损伤 HIC最小值和胸部损伤 3ms 最小值。获得解具有较高的可行性,相关技术人员可以结合工作经验选择合适的最优解。
结束语:
本文通过设置模型分析了汽车正面碰撞安全气囊缓冲特性多目标优化,利用微型多目标遗传算法优化匹配气囊动态参数,经过分析可知,利用这一方法可以提供相应的特征参数有利于更好地优化设计安全气囊,在最大程度上满足用户对安全气囊的要求。
参考文献:
[1] 郑凯. 汽车副 驾驶安 全气囊 设计要 点及试 验方法[J]. 汽 车维修 与保养,2024,(12):56-57.
[2]黄奇,吕猛,史本鹏,等.3D 打印技术在汽车主安全气囊盖板模具研发中的应用研究[J].专用汽车,2024,(11):98-99.
[3]毛莉莉.基于智能传感技术的汽车安全气囊触发机理优化研究[J].汽车测试报告,2024,(19):110-112.
[4]孙新零,杨威,刘柳,等.汽车安全气囊用混合式发生器点火过程内压影响因素研究[J].化工管理,2024,(21):101-104+128.