红外分光光度法测定水中石油类测量不确定度评定
姜仪琳 左厚震
哈尔滨石化公司质量检验中心 黑龙江哈尔滨 15000
水中石油类是石油化工行业在环境监测领域的重要污染物,红外分光光度法是测定污水中石油类的最重要的方法。由于操作过程使用器皿较多,步骤复杂,因此数据结果带有很多不确定性,本文以一个简单的质控样品分析为例,尝试对石油类分析做基础的评定,判断试验室分析石油类不确定度的大小。
1 测量方法概述
依据《HJ 637-2018 石油类和动植物油类的测定 红外分光光度法》,油类和石油类的含量均由波数分别为 2930cm-1 , (CH2 基团中 C-H 键的伸缩振动 )、 2960cm-1 , (CH3 基团中 C-H 键的伸缩 ) 和 3030cm-1 ( 芳香环中 C-H 键的伸缩振动 ) 处的吸光度 A2930 、 A2960 和 A3030, , 根据校正系数进行计算 ; 动植物油类的含量为油类与石油类含量之差。使用红外分光测油仪,以四氯乙烯中石油类标准溶液制作曲线,按操作指导书,用四氯乙烯稀释质控样品,分析后得到样品结果。
2 建立测量过程模型
水中石油类浓度
式中: ρ-ρ 质控样品石油类浓度, mg/L
A- 质控样品在仪器中的吸光度;
a- 校准曲线的截距;
b- 校准曲线的斜率。
3 测量不确定度来源
3.1 使用仪器的不确定度;
3.2 校准曲线不确定度
3.2 标准样品带来的不确定度;
3.4 玻璃量器带来的不确定度
3.4.1 一次稀释标样用的 10.00ml 移液管不确定度;3.4.2 取曲线各点用的吸量管不确定度;
3.4.3 曲线稀释定容用100ml 容量瓶不确定度;3.4.4 曲线稀释定容用50.0ml 比色管不确定度
3.4.5 一次稀释质控样用的5.00ml 移液管不确定度
3.4.6 质控样定容用100ml 容量瓶不确定度;
4 标准不确定度的评定
4.1 待测样品测定结果
在重复性条件下,对同一样品进行8 次测定,测量结果如下:

4.2 不确定度分量的计算
4.2.1 使用仪器本身的不确定度
使用北京华夏科创的 Oil480 仪器分析,该仪器的不确定度为 3%,假设极端值可能,按三角形分布,
,
4.2.2 校准曲线不确定度

标准曲线方程 y=0.9725x+0. .5617
校准曲线为: Ai=b⋅ci+a+ei
Ai, :第 i 次 y 测定值
Ci :对应于第i 次 Δy 的校准标准溶液的浓度
b :斜率
a :截距
ei :残差

4.2.3 标准样品不确定度
制作曲线用的标准样品,来自生态环境部环境发展中心环境标准样品研究所, 1000mg/L 相对扩展不确定度为3%,假设按三角形分布 u(q3)1000*0.03/6=12.24mg/L ;
4.24 玻璃量器带来的不确定度a)一次稀释标样用的10.00ml 移液管不确定根据取样用10ml 移液管的检定证书,容量允许差为 ±0.02ml ,按三角形分布,
1
)=0.02/6=0.008ml ;
b)取曲线各点用的吸量管不确定度根据取样用 10ml 直管吸量管的检定证书,容量允许差为 ±0.05ml ,按三角形分布,
u(q42)=0.05/6=0.020ml ;c)曲线稀释定容用 100ml 容量瓶不确定度根据定容用 100ml 容量瓶的检定证书,容量允许差为 ±0.10ml ,按三角形分布, u(q43)
=0.10/6=0.041ml ;
d)曲线稀释定容用 50.0ml 比色管不确定度
根据稀释用 50.0ml 比色管的检定证书,容量允许差为 ±0.25ml ,按三角形分布,u(q44)=0,25/6=0. .102ml ;
e)一次稀释质控样用的5.00ml 移液管不确定度根据取样用10ml 移液管的检定证书,容量允许差为 ±0.02ml ,按三角形分布,
u(q45)=0.02/6=0.008mlf)质控样定容用 100ml 容量瓶不确定度
根据定容用 100ml 容量瓶的检定证书,容量允许差为 ±0.10ml ,按三角形分布, u(q46) =0.10/6=0.041ml
六个体积不确定度分量个贡献量合成体积不确定度

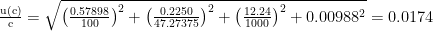
5 合成标准不确定度

u(c)=47. 27×0 .0174=0.82
6 扩展不确定度的计算
采用95% 的置信概率,按正态分布考虑,包含因子 k=2 , 扩展不确定度为:U=0. 82×2=1 .64
7 报告结果
石油类测定值为: (47.3±1.6)mg/L, k=2
结论
经过建立测量过程模型,判断测量不确定度来源,计算标准不确定度,继而合成标准不确定度,计算扩展不确定度。最后得到结果:石油类测定值为: (47.3±1.6)mg/L , k=2. 。