已知坐标点反算线路里程和偏距的通用计算方法
刘立正 谢江涛 李小龙 杨维裕
中铁二局测量中心 四川成都 610031
铁路、公路、水利等线路工程设计和施工的不同阶段,经需测量相关建筑物或目标点实际坐标,结合线元要素反算该坐标对应的线路里程和偏距并与设计的里程和对应偏距比较,即可确定相关建筑物是否处于线路工程的红线范围内、实测路基是否填筑到设计宽度、桥梁墩台是否施工到设计位置、结构物或隧道断面是否侵入建筑限界,根据计算结果指导设计和施工。
现有技术存在的问题:不同类型线元(直线段、圆曲线、缓和曲线)采用不同计算方法;累加切线支距迭代可能不收敛;偏角超过 180∘ 的回旋线不能反算全部结果。
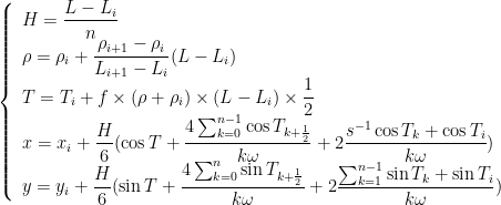
1 线元任意里程坐标和切线方位计算
设任意直线段、圆曲线段、缓和曲线段(不完整缓和曲线段)均为线元,并称线元起终点里程、起终点曲率半径、起点切线方位、起点坐标、线元偏转方向为线元的线元要素。
在图 1 所示工程独立坐标系中,M 线元的线元要素一经确定,则线元上任意里程点的坐标和切线方位按下式计算:
图1 工程独立坐标系与线元关系

Fig. 1 Engineering independent coordinate system and line element relation

式中
Li 、 Li+1 分别为 M 线元起终点里程。
ρ、ρ ρi+1 分别为 M 线元起终点曲率。
Xi 、 yi 为 M 线元起点在工程坐标系中的坐标。
Ti 为 M 线元起点在工程坐标系中的切线方位。
ρ 为当前里程的曲率。
Tk 为将起点到计算点的弧线 Πn 等分后,各等分点和各等分段中点处的切线方位。
f 为
M 线元偏转方位判断符号,f= ±1 ,当 M 线元左偏(起点R<0 )时,f= -1。
n 为大于0 的自然数。
L 为当前里程。
T 为当前里程的切线方位。
x、y 为计算里程L 的坐标。
当 L 为线元终点里程时,按式(1)可计算出线元终点的切线方位和坐标,并称这些数据均为线元要素。
2 已知坐标反算线路里程和偏距的通用计算方法
2.1 线元各分线元的线元要素计算
分析表明,为获取已知坐标点对应线元的全部里程和偏距,对曲线偏角超过 180∘ °的缓和曲线段和超过 360∘ 的圆曲线段,需对相关线
元分段,得到分线元,然后反算已知点对应各分线元的线路里程和偏距。
图 1 中,根据 M 的线元要素,从线元起点切线方位偏转到线元终点切线方位的曲线累计偏转角(以下简称曲线偏角)按下式计算:

式中
Li 、 Li+1 分别为M 线元起终点里程。
ρ、ρ ρi+1 分别为 M 线元起终点曲率。
根据线元的曲线偏角 β 值,任意线元按等分曲线偏角的方法可将线元分成 Πn 段分曲线元,使得每一分曲线元的曲线偏角均为 δ,其中 δ=β/n

线元
按偏角等分成 Πn 段分线元后,从
线元中第一分线元起,依次循环计算剩余线元中第一分线元的线元要素,然后将除去第一分线元后的剩余线元作为新线元继续循环分割直到最后一分线元。完成上述分割后,将得到每一分线元曲线偏角均为 δ 的 Πn 段分线元及其线元要素。
按偏角等分线元的具体方法为:
1)当线元为缓和曲线时,设当前(剩余) M 线元的起终点里程分别为LA、LB,起终点曲率分别为ρA、ρB。
则
线元中第一分线元长按下式计算:

式中
g 为中间计算值。
LA 、 LB 为当前 M 线元起终点里程。
ρA、 Σ)B 为当前M 线元起终点曲率。
δ 为原M 线元 β 的 Πn 等分角值。
l 为当前
线元第一分线元的曲线长。
2)当 M 线元为圆曲线时, M 线元中第一分线元的曲线长按下式计算:

式中
ρ 为
圆曲线段的曲率。
δ 为原M 线元β 的 Πn 等分角值。
l 为当前M 线元第一分线元的曲线长。
获取第一分线元长度后,分线元终点曲率、坐标和切线方位等可按式(1)计算。
完成上述循环计算后,即将M 线元分成 Πn 段分线元。
相关算例进一步说明:为获取已知坐标点包括缓和曲线在内的全部对应线路里程和偏距,当缓和曲线元 β 超过 150∘ 或圆曲线 β 超过 180∘ 时,宜按 d<90∘ 对该线元分段后,依次计算已知坐标点对所有分线元的对应里程和偏距。
因此,构成线路的所有线元中,直线段、 β 小于 π/2 的圆曲线段或缓和曲线段均只有一条分线元(即当前线元本身),其 n=1 ;当圆曲线段、缓和曲线段 β 大于 π/2 时,宜按等分偏角的方法将该曲线元分解成每一分线元曲线偏角接近 π/2 的分曲线元。
2.2 反算已知坐标对应线路里程和偏距的通用方法
为表述方便,将线元按曲线偏角
等分得到的任一分线元仍然称为曲线元或线元。反算已知坐标点对应线路里程和偏距实为反算每一线元的对应里程和偏距。
2.2.1 关于线元存在反算里程和偏距的区域规定
如图 2 所示,设某线元起终点分别为 A、B,过 A、B 且指向里程增加方向右侧的法线方向为 tA、tB,则该两法线将平面分成图 2 所示的 I~IV 共4 个区域(直线线元则分成Ⅰ、Ⅱ、Ⅳ共3 个区域)。
图2 里程和偏距反算区域
Fig. 2 Reverse calculation range of mileage and offset

对任意线元,规定仅当已知坐标点处于图 2 中的阴影部分即第Ⅰ区域(称为反算区域)时,才反算该坐标点对应该线元的里程和偏距。这一规定排除了对圆曲线段圆心坐标的反算。对线路而言,通常路面宽不可能超过圆心,因此,这一规定也是恰当的。
2.2.2 反算已知坐标对应线元里程和偏距的通用方法
设图 2 所示线元 M 起终点里程为 ΔLA 、 LB ,起终点曲率半径为RA 、 RB ,起终点指向线路右侧的法线方位为 tA 、 tB ,直线段 AB 为 M 线元的弦线,O 为弦线AB 的中点。P(x,y)为已知坐标点。三角形ABP 构成反算三角形。
1)由 A、B、O、P 各点坐标,分别计算 ΔtAO 、
、 tOP 四方位和ΔSAO 、 ΔSop 两边长,令
。则仅当 γ1<0 且 γ 2>0 时,P 点处于第Ⅰ区域,P 点对线元
才有对应里程和偏距。
2)当 P 点对线元 M 有对应里程和偏距时,计算方位 tAO 转向方位 tOP 的转角绝对值θ。
当 Θ<90∘ °时,令 L=LA+|SA0| ,得到 M 线元上里程为L 的一点A’。根据 M 的线元要素,按式(1)计算 A’点相关数据。令 ΔA ’点为新的A 点并与原B 点间的弧线构成新的子线元 M⨀
当 θ>90∘ °时,令 L=LB-|SAO| ,得到
线元上里程为L 的一点 B′ ’,根据线元 M 的线元要素,按式(1)计算 B’点的相关数据。令 B点为新的B 点并与原A 点间的弧线构成新的子线元 Mi 。
3)新子线元 M 两端点 A、B 及弦线 AB 的中点 O 和 P 点构成新的反算三角形。不断迭代重复步骤 1)和 2),直至新子线元 M 的半弦长 SAO 小于某一规定值(通常为 0.002m )时,则 LA 或 LB 即为 P 点对应线元
的里程, ΔSop 即为 P 点偏离线元
的偏距。
SoP=|SoP|×sign(sin(toP-tAB))
当 S0P>0 时 P 点偏
右侧,反之偏 M 左侧。
4)从线路第一线元起,计算 P 点相对于每一(分)线元的里程和偏距,得到P 点相对于线路的全部对应里程和偏距。当 P 点存在多个对应里程和偏距时,取其中偏距最小的两个偏距及其对应的里程作为最终反算成果。
3 算例
图1 中,右偏曲线元M 的线元要素和a、b、c 三点坐标见表1。
表1 M 曲线元线元要素和已知点坐标成果表
Table 1 Line element for M curve element and known point coordinate results
表2 已知坐标点反算线元的里程和偏距表

其中,M 线元起点里程 L1=100 ,半径 R1=1 ,M 线元终点里程L2=150 ,半径 R2=800 。因此该曲线元为非完整回旋线。
按式(2)和式(3)计算 M 线元偏角 β=1434.184981∘ , n=17 ,δ=84.3638224∘
按等分偏角法将 M 线元分为 17 段。从 M 线元起点依次取每一分线元,根据每一分线元起点线元要素按式(1)计算该分线元终点的线元要素,并将该分线元终点作为下一分线元起点,循环计算得到每一分曲线元的线元要素。
将每一分线元作为一个线元分别计算 a、b、c 三点在反算区域内对应线元的里程和偏距见表2。
Table 2 Mileage and offset of inverse calculation line with known coordinate points

注:表中带
的反算成果为有效或采用成果
4 结语
线路工程设计、施工阶段根据已知坐标点反算线路对应里程和偏距,实际为反算任意线元对应的里程和偏距。
分析表明,为获取已知坐标点对应线元的全部里程和偏距,当线元偏角超过某一值 δ 时,宜先按等分线元曲线偏角的方法将线元分成 n 段分线元,采用复化辛普森公式计算各分线元的线元要素,使每一分线元的偏角均不超过 δ 值(为避免缓和曲线漏算,δ 宜小于90°,某些情况可小于 45∘ °),然后反算已知点对应各分线元的线路里程和偏距。对曲线偏角超过 180∘ 的缓和曲线段和超过 360∘ 的圆曲线段则必须将线元分段。
进行里程和偏距反算前,首先根据线元或分线元要素及其起终点A、B 和P 点坐标,判断P 点是否处于反算区域。
若 P 位于反算区域,在反算三角形 ABP 中,根据线元弦线起终点和弦线中点与已知坐标点的关系,通过迭代不断改变线元起终点位置构成新线元,使弦长不断缩减到某一给定值,从而获取已知坐标点对应线路的里程和偏距。这种方法适用于线元偏角为任意值的任意线元,且计算过程始终收敛,可得到反算区域内的全部反算结果,从而得到已知坐标点对应于线路的里程和偏距。
参考文献
[1] 张坤宜 , 谭远德 , 李晓东 ; 公路卵形曲线测量的坐标检验 [J];测绘通报 ;2004 年 04 期 39-42
[2] 李孟山, 李少元. 计算公路匝道点位坐标的复化辛普森公式[J].测绘通报 , 2000(1): 35-40.
LI Mengshan, LI Shaoyuan. The Compound Simpson Formula for Calculating the Coordinates of Highway Ramp Points[J]. Bulletin of Surveying and Mapping, 2000(1): 35-40.
[3] 杨维裕 , 杨章 , 周适等 . 一种已知坐标点反算对应线路里程和偏距的方法 [P]. 中国专利 : ZL202011581402.7, 2021-09-14.
YANG Weiyu, YANG Zhang, ZHOU Shi, et al. A Method for Inversely Calculating the Corresponding Line Mileage and Offset of Known Coordinate Points. [P]. China Patent:ZL202011581402.7, 2021-09-14.
[4] 李全信 . 线路测量中的正反算问题及应用 [J]. 测绘通报 ,2006(2): 36-38.
[5] 李林. 回旋曲线通用计算公式推导及在公路测量放线中的应用[J]. 太原科技 ,2006 年 04 期 : 71-72.
[6] 唐争气, 吴争鸣. 道路曲线中桩和边桩的3 维坐标的一体化计算 [J]. 测绘通报 ,2006 年 12 期 : 20-23.
[7] 叶松林 . 道路卵形回旋线任意点坐标及方位角计算方法 [J]. 测绘通报 , 1999 年 03 期 : 26-28.
[8] 廖日辉, 童斌. 回旋线一般表达式的推导及应用[J]. 水运工程,2007 年 10 期 : 24-26.
[9] 李全信 . 确定地面点与线路中线相对关系的统一数学模型 [J].测绘通报 , 2002(8): 34-37.
[10] 朱志全 . 关于连接两圆曲线的缓和曲线任意点坐标计算方法[J]. 四川测绘 , 2001 年 04 期 : 181-183.
[11] 柯愈明 , 李洪霞 . 基本型平曲线设计方法 [J]. 公路交通技术 ,2003 年 6 月第 3 期 : 5-7.
[12] 隋永芹, 张雪华, 王家红. 高速公路互通立交匝道非完整缓和曲线计算 [J]. 中南公路工程 , 2003 年 9 月第 3 期 28 卷 : 53-55.
[13] 张坤宜 , 杜宏彪 , 魏德宏 . 缓和复曲线中插缓和曲线弧长的直接精确解 [J]. 公路 , 2004 年 8 月第 8 期 : 102-104.
[14]