差异化能源大数据背景下轻量级共享数据加密方法分析
周华杰 汪亮
浙江青兴科技有限公司 杭州吉网通信技术有限公司
前言:差异化能源大数据指的是在用户群体、应用场景及数据来源差异化表现下,形成的与能源消费、能源传输及能源生产相关海量数据集合。为使能源领域在该背景下,逐渐实现轻量级共享发展,笔者认为需提出可行性数据加密方法,期待通过此法指导用户妥善处理海量数据。
1、差异化能源大数据背景下轻量级共享数据加密方法要点
1.1 解析 Raft 共识机制
为符合轻量级共享数据加密条件,首要前提是通过解析Raft 共识机制,增强此法落地性与可理解性。强调选举用户与复制日志达成共识,围绕差异化分布特点,设定数据处理截止期限,使加密数据实现共享传输。数据处理截止期限的解析参考下列公式(1),并根据公式(2)赋予权重条件。

式中 Q 指代差异化能源大数据截止期限;
指代连续画面中帧数; r 指代平均比特数; f 指代数据流频率; D 指代无向图顶点; p 指代邻接顶点;φ 指代无向图顶点连接度; k 指代分类数据包大小。
(1-p)∗|φ|p∘ledastW∘ledast (2)
式中 ω D 指代无向图顶点权重值; 指代求自变量最大的函数; D φ p 含义同上; ∘ledast 表示异或运算符号; W 指代最大团子状态。
1.2 确认密文定义条件
因能源大数据涉及敏感信息,故笔者认为需给定密文定义条件,以信息加密形式,维护数据传输安全。密文定义条件围绕数据概率分布特征(见公式3),界定加密密文取值区间及共享格式[1],设定路径参考公式(4)。

式中 P (m,n x) 表示敏感信息测试代价取值区间 m,n 与符合Raft 共识机制转换条件能源大数据 x 的概率分布水平; α 指代帕累托参数。

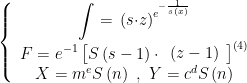
式中 B F 各代表加密中的公钥与私钥; s z 均代表不同的密文素数;e 表示自然常数; s (x) 表示 x 对应的加密密文格式; s 表示加密密文; m n 同上; Y 指代解密结果;d 指代分解因子;c 指代测试代价。
1.3 实现属性加密访问
属性加密以秘钥属性与密文属性加密为具体形式,其关键环节包括属性定义和分配 $$ 数据访问控制 $$ 属性加密 $$ 秘钥与密文分发 $$ 解密与访问。属性定义和分配步骤,需根据能源大数据关联的用户身份、责任等属性分类依据进行合理分配;有序围绕属性特征设定秘钥与密文;解密部分将符合分发标准的用户视为轻量级共享数据访问权限者[2]。
2、差异化能源大数据背景下轻量级共享数据加密方法测试
为证明本文提出的加密方法具有现实应用价值,笔者专门结合煤炭、电力、石油等能源领域相关数据,开设了测试项目,当本文推荐方法能顺利通过测试时,则认定此法值得推广。
2.1 合规性测试
利用下列公式(5)测试此法合规性,设定20 条通信链路,106B 的额定带宽,整理出(表 1)所示测试数据,明显本文推荐方法验证开销结果更小,合规性达标。

式中 δ φ
K N v 各指代加密开销、共享数据、公有链和私有链传输间距、能源共享数据量、带宽开销、公有链节点、验证开销。
表1 不同数据量下不同方法的验证开销结果对比 (× 104KB )

2.2 网络性能测试
根据(表2)与(表3)数据显示:本文推荐方法可有效抵御攻击行为,且网络性能良好。
表2 不同数据量下不同方法的带宽开销结果对比 (× 104KB )

表3 本文推荐方法在5 组轻量级共享数据中成功防御情况对比

2.3 实用功能测试
根据(表 4)数据显示:本文推荐此法,与传统方法比较,其功能齐全,整体实用性突出。
表4 不同方法下功能测试结果(1:有该功能;0:无该功能)

结论:综上所述,差异化能源大数据背景下,笔者提出从解析 Raft 共识机制、确认密文定义条件、实现属性加密访问三个部分,阐述轻量级共享数据加密方法的实践要点。经验证此法已顺利通过合规性、网络性能及实用功能测试。
参考文献:
[1]王旭东,张伟,王林,等.基于差异化能源大数据与敏感特征的轻量级共享数据加密方法[J].人工智能科学与工程,2024,(03):29-35.
[2]殷新春,王梦宇,宁建廷.轻量级可搜索医疗数据共享方案[J].通信学 报,2022,43(05):110-122.