风电齿轮箱高速级齿轮修形研究
廖庆 张亮 赵晶晶 谢文华
银川威力传动技术股份有限公司
随着风力发电技术的日益成熟,风电齿轮箱的设计制造向着大型化发展,对于齿轮箱的承载能力提出更高的要求。在风电齿轮箱使用过程中,由于工作环境恶劣,工况条件复杂,导致齿轮箱内齿轮副的啮合情况不太理想,承载能力也有所降低,齿轮系统的动态性能例如振动、噪声也较为严重,高速级齿轮副转速较高,对传动误差的敏感性也较高。有相关研究发现,齿轮修形是提高齿轮副动态啮合性能的有效方法,目前经过国内外专家的多年努力,以及齿轮修形经验的累积,修形产生的效果也得到大幅的提升 [1-2]。但由于齿轮的啮合过程是非线性的,受到多方面因素的影响,利用公式计算出的修形方案很难达到理想效果。基于这一现状,本文中针对风电齿轮箱中的高速级齿轮副,利用 MASTA 软件对修形方案进行研究设计并进行试验,确定合适的修形方案,从而提高齿轮箱的动态性能及承载能力。
1 建立仿真模型
本次仿真分析以某机型齿轮箱作为研究对象,基于 MASTA 软件进行分析。在 MASTA 软件中建立齿轮箱整机模型,并使用 ANSYS Workbench 对齿轮箱结构件进行有限元网格划分,并导入到 MASTA 软件中进行替换,提高仿真精度。MASTA 中建立的仿真模型如图 1 所示。MASTA 中设置的高速级齿轮副宏观参数如表1 所示。
表1 齿轮副宏观参数

图1 仿真模型

2 齿轮修形理论
在齿轮副啮合过程中,由于齿轮制造误差、安装误差、受载变形等原因,造成齿轮副传递误差较大,齿面载荷分布不均匀、啮合偏载严重的情况,使齿轮箱产生较大的冲击载荷及振动,导致齿轮箱的振动及噪声加剧[3]。使用齿轮修形,将齿轮的部分齿面材料进行去除,从而调整齿轮的啮合位置,降低齿轮啮入及啮出的冲击,在一定程度上提高齿轮传动的平稳性,改善齿轮传动的动态性能。齿轮修形主要是齿廓修形和齿向修形。齿廓修形是对齿轮的渐开线齿廓进行调整,常用的修形方式为齿廓修鼓、齿顶修缘、压力角修形等。齿向修形是对齿轮的螺旋线进行调整,常用的修形方式为齿向修鼓、螺旋线修形、齿端修薄等。由于风电齿轮箱载荷很大,较大的齿根修形会对齿根弯曲强度产生影响,所以齿廓修形中采用较小的齿廓修鼓及齿顶修缘。齿向修形主要为了调整因齿轮轴弯曲变形和扭转变形等原因造成的啮合错位,所以齿向修形主要采用螺旋线修形,并增加一定的齿向修鼓和齿端修薄。
齿廓修形量采用齿轮设计手册[4] 推荐公式:
Δlμ=7.5+0.04Wt
式中,Wt 为单位齿宽载荷, N/mm⨀ 。
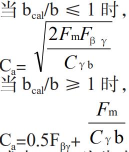
齿向修鼓量为:

式中,Fβγ 为齿向啮合误差,μm; Cγ 为啮合刚度,N/( mm⋅μm ); bcal 为有效接触宽度,mm;b 为齿宽,mm。对于齿面硬化和渗氮齿轮,其齿端修薄量和修薄长度采用国家标准 GB/T3480.1 的介绍方法:
Δ=0.5 (f +1.5f ) + (5~10)
式中, fsh 为综合变形产生的啮合齿向误差分量,μm;fHβ 为螺旋线倾斜偏差, μm 5~10 为齿轮的制造误差, μm 。修薄长度为:(0.05~0.1)b,mm。
由于经验公式没有考虑轴承、轴以及箱体刚度的影响,修形效果虽然能够改善传递误差和齿轮偏载情况,但是往往很难达到最理想的效果。基于此,在经验公式的基础上,通过结合以往经验在MASTA 中对修形参数进行调整。最终修形参数如下:
表2 齿向修形参数

表3 齿廓修形参数

3 仿真分析
本文以某机型高速级齿轮副为研究对象,考虑轴承、箱体刚度的影响,利用 MASTA 软件对整机进行仿真分析,计算齿面接触应力如图 2 所示。由图 2 可知,修形后齿面接触应力由 1425.35MPa 降至 1130.93MPa,降幅为20.65% ,齿面应力分布更加均匀,齿面偏载现象基本消除。

分析修形后的传递误差,计算结果如图3 所示。由图3 可知,传递误差由 4.0901μm 降至 2.1432μm ,降幅为 47.6% ,修形后传递误差的波形更加平缓,振动更小。

a. 修形前 b. 修形后
图3 传递误差
4 试验验证
为验证齿轮修形的效果,对修形后的齿轮进行试验。由于风电齿轮箱的输入端具有转速小、扭矩大的特点,所以采用背靠背的两个齿轮箱进行对拖试验。其中一台为主试齿轮箱,一台为陪试齿轮箱,以主试齿轮箱为试验对象,如图4 所示。
图4 试验台图

在额定转速下施加 100% 额定载荷进行试验,试验结果如图 5 所示。通过观察输入齿轮和输出齿轮的接触斑点,整个齿面在齿宽方向上接触均匀,没有出现偏载的情况。通过试验证明高速级齿轮修形的方案效果比较好,修形方案合适。
a. 输入齿轮啮合面 b. 输出齿轮啮合面
图5 齿面接触斑点图

结论
通过 MASTA 对其进行建模仿真分析,比较修形前后的齿面应力分布云图和传递误差,修形后齿面接触应力降低 20.65% ,传递误差降低 47.6% 。对修形后的齿轮进行试验验证,齿面接触斑点良好,修形方案满足使用要求。
参考文献
1. WANG Jiande,HOWARD Ian.A further study on high-contactratio spur gears in mesh with double-scope tooth profile modification [J].Proceedings of 10th ASME International Power Transmission and Gearing Conference PTG,2007:64-70.
2. UMEZAWA Kiyohiko,ISHIKAWA Jiro.Deflection due to contact between gear teeth with finite w i d t h [ J ] . T h e J a p a n Society of Mechanical Engineers,1973:1085-1093.
3. 王玉芳 , 童忠钫 . 齿轮的误差对啮合冲击的影响 [J]. 振动于冲击 ,1994,50(2):14-19.
4. 齿轮设计书册编委会 . 齿轮手册 : 上册 [M]. 北京 : 机械工业出版社 ,2000:146-147.