精密压力表测量结果的不确定度评定
高峰
内江市检验检测中心
0 概述
测量依据:JJG 49-2013 弹性元件式精密压力表和真空表、 JJF1059.1—2012 测量不确定度评定与表示
被检计量器具:精密压力表,测量范围:(0 ~60)MPa,分度值:0.5MPa ,准确度等级:0.4 级
测量标准器:手持全自动压力校验仪,测量范围( 0~60 )MPa,准确度等级:0.02 级
测量条件:温度
,环境压力:大气压力,相对湿度⩽85% 。
测量过程:根据上述的测量条件,将精密压力表和手持全自动压力校验仪静置均温 2h 后,采用手持全自动压力校验仪示值与被检精密压力表示值直接比较的方法开展检定,先平放读取零位的数据,然后缓慢均匀地加压至 10MPa 点,以 0.05MPa 估读被检精密表的示值,随后轻敲精密压力表外壳,再读取被检精密表的示值,以此方式再检 定 20MPa、 30MPa 、40MPa、50MPa、 60MPa ,耐压 3min 直接读取60MPa 数据作为下行程值,再依次逐点进行降压检定 50MPa 、40MPa、30MPa 、 20MPa 、 10MPa ,最后取下平放读取零位数据,以轻敲前后精密压力表示值与手持全自动压力校验仪示值之差作为示值误差。
1 测量模型:∆P = PX − PN灵敏系数: 
2 测量不确定度评定
2.1 输入量P 的标准不确定度u(PX)
2.1.1 被检精密压力表测量重复性引入的标准不确定度 u(Pxi)
该重复性采用各点上行程轻巧后的值作为重复性,方法为缓慢加压到预定的压力值——读数——泄压——打压——读数,如此反复 10次读数,直至下一个点继续采用此方法,其测量数据见下表:

由于以轻敲前后精密压力表示值与手持全自动压力校验仪示值之差的最大误差作为示值误差,故u (Px1)=s ,各检定点重复性引入的标准不确定度 u(Px1) 分别为 0.028MPa 、 0.035MPa 、 0.021MPa
2.1.2 被检精密压力表分辨力引入的标准不确定度 $: u \ \{ \bar { P } _ { \mathrm { x 2 } } \} \$
被检精密压力表的分度值为 0.5MPa ,分辨力为 0.05MPa ,所以半宽度 a=0.025MPa ,在此区间内服从均匀分布,取包含因子
,故
。
2.1.3 被检精密压力表受温度变化引入的标准不确定度 u (Px3)
规程规定测量时环境温度区间为
,温度影响导致被检精密压力表产生的误差 Δ=kt⋅t⋅Px=±0.072MPa (温度影响系数kt=0.0004MPa/C ),所以区间半宽度 a=0.072MPa ,在此区间内服从均匀分布,取包含因子
,故
。
2.1.4 被检精密压力表与手持全自动压力校验仪压力模块受压面高度不一致引入的标准不确定度 u(Px4)
由于手持全自动压力校验仪压力模块的受压面与精密压力表指针轴不再同一水平面上,之间的液位高度差约为 7cm ,液面高度引起的误差为 (gh=860kg/m3×9.7914m/s2×0.07m=0.0006MPa ,在此区间内服从均匀分布,取包含因子
,故 u(Px4)=0.0006MPa/
Γ=0.00003MPac 。
2.1.5 被检精密压力表估读引入的标准不确定度 u(Pxs)
由于检定人员的视力、习惯及指针与刻度盘有距离,视线会产生偏角造成估读误差,该精密压力表的分度值为 0.5MPa ,规程要求应该以 0.05MPa 进行估读,则估读引入的分量为 ±0.05MPa ,所以半宽度a=0.05MPa ,在此区间内服从均匀分布,取包含因子
,故 u(Pxs) =0.05MPa/
。
2.1.6 以上各标准不确定度分量,相互独立、互不相关,故根据公式合成为:

2 2 输入量 PN 的标准不确定度 u ( (PN)
输入量 PN 的标准不确定度
主要来源于手持全自动压力校验仪的最大允许误差, MPE=±0.02%×60MPa=±0.012MPa ,区间半宽度a=0.012MPPa,在此区间呈均匀分布,取包含因子k = 3,则u(PN)= a/k=0.012MPa/
。
3 合成标准不确定度的评定
3.1 标准不确定度汇总表

3.2 合成标准不确定度 uc
u(Px) 和u (PN) 相互独立、互不相关,因此: 
10MPa 点, 
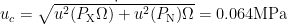
30MPa 点, 
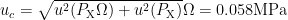
60MPa 点, 
3.3 扩展不确定度
取包含因子 k=2 ,则 U=k⋅uc 。10MPa 点, U=0.060MPa×2=0.12MPa 30MPa 点, U=0.064MPa×2=0.13MPa 60MPa 点, υ=0.058MPa×2=0.12MPa
4 测量不确定度的报告与表示
因检定所使用的计量标准器其准确度等级采用的引用误差,所有各检定点的测量不确定度基本相同,故取最大不确定度作为全量程
内的最佳不确定度,该精密压力表的示值误差的测量结果不确定度U=0.13MPa , k=2 。
参考文献
国家质量监督检验检疫总局 ⋅⋅ JJG 49-2013《弹性元件式精密压力表和真空表》
国家质量监督检验检疫总局 ⋅⋅ JJF1059.1-2012《测量不确定度评定与表示》
作者简介
高峰,男,计量测试研究所 副所长 计量测试工程师