随机变量下全概率公式及其应用
赵姣珍
山西晋中理工学院
引言
借助于条件概率的引入,全概率公式本质上解决了两个问题:(1)提供了一种概率的分解计算或分情形计算方法;(2) 解决了分带有层次或顺序的随机试验中概率计算问题。
全概率公式最初是以集合表示事件的形式给出。形式上,对于样本空间 S 的一个划分 B1,…,Bn(n≥2) ,对于 S 的任一子集 A(作为事件),由互斥条件下的概率可加性,事件的概率Pr [ ] Pr [ AB1] . . . Pr [ ABn],再由来条件概率定义诱导的乘法公式,每一个子项Pr [ABi] 可表示为Pr [ ABi ]= Pr [ Bi ] ⋅ Pr [ A | Bi ] 。 从 而, 有 全 概 率 公 式: P[A]=Σi=1n Pr [ Bi ] ⋅ Pr [ A | Bi ] 。从计算角度,条件概率Pr [A| Bi] 的计算表现为:己知条件事件Bi 发生的情形下计算事件A 发生的概率,计算变得容易。
在一般概率论与数理统计的教科书中,全概率公式和贝叶斯公式仅在集合表示事件部分讨论,后续有关概率计算很少再使用全概率公式。其实,随机变量的引入将样本空间统一到欧氏空间,使用随机变量表示事件给出一种精致的表示方法,如:事件“
”。在概率论与数理统计中,概率计算始终是一个中心问题,包括求分布函数、概率密度函数等等,本质还是在计算概率。因此,随机变量引入后,更应该发挥全概率公式在概率计算中的作用。
本文讨论随机变量下全概率公式及其应用,旨在深入探究和丰富概率计算方法和工具。
1. 随机变量下的全概率公式
随机变量的引入,将样本空间 S 映射到实数集 R。随机变量 X 作为从S 到R 的函数,可以通过作为函数取值(或取值范围)逆向对应的定义域表示样本空间 S 的子集。由实数集的拓扑性质,形如 X≤a 的事件作为基本开集,足以表示实数集上的任何子集。
随机变量作为函数,可通过取值取类型简单地将随机机变量分为离散型和连续型。特别,对于离散型随机变量 X,假定其取值为x0,x1,…,xk,… ,则事件簇 {X=Xi}i∈N 自然形成样本空间 S 的一个划分。重要的是:此时我们不必知道S 是什么。
于是,全概率公式可以改写为:
P[A]=Σi=0+∞P[X=xi]⋅P[A|X=xi]
我们称公式(1) 为基于随机变量 ΔX 的全概率公式。
同样,对于连续型随机变量 ΔX ,假定其概率密度函数为 fx(x) ,同样有如下形式的全概率公式:

对于事件A,引入另一个随机变量 ΔY 表示 A:
,其中G为实数集R 的一个子集。
考虑一个扩充后的二维随机变量 (X,Y),分别改写公式(1.1)和(1.2)为:
P[Y∈G]=Σi=0+∞P[X=xi]⋅P[Y∈G|X=xi]

其中, fx(x) 右连续。
公式(1.3)和 (1.4) 分别称为离散型和连续型(基于随机变量 X)的全概率公式。分别简称离散型和连续型全概率公式。
特别,当 ΔX 与 Y 相互独立时,公式 (1.3) 和 (1.4) 退化为:
P[Y∈G]=Σi=0+∞P[X=xi]⋅P[Y∈G]=P[Y∈G]

因此,在 随机变量下使用全概率公式时,一般是在 ΔX 与 ΔY 不独立下使用才有效。
对于连续型随机变量 X 和Y,设 Z=g(X,Y) 的X,Y 的随机变量函数,考虑二维随机变量 (X,Z),则可以在如下情形下使用随机变量的全概率公式帮助计算:
(以离散型为例)
(1) 基于随机变量Z 的全概率公式

(2) 基于随机变量X 的全概率公式

将 X 换为 Y 后有类似计算公式。特别,当 ΔX 与 ΔY 独立时,计算过程可以简化。
值得注意的是 : 实际计算时,无穷级数求和中有一些项为零,有时甚至只剩下有限项不为零。
此外,随机变量下的全概率公式还可以用高维随机变量作划分。如:基于二维随机变量(X,Y)的全概率公式。
2. 随机变量下全概率公式的证明
在本节 中,我们给出随机变量下全概率公式(1.3)(离散型)和( 1.4)(连续型)的证明。
(1)离散型全概率公式(1.3)的证明
假定有一 个样本空间 S, (X,Y)为 S 上的一个二维随机变量(X与Y 不一定独立),随机变量X, Y 为(X,Y)的边缘分布随机变量。
设随机变量 X 的分布律为:
,当i eqj 时, Xi≠Xj 。随机变量 X 是样本 空间 S 到实数集 R 的一个函数,事件X=xi(i≥1) 互不相容。由 Σi-1+∞Pr[X=xi]=Σi-1+∞pi=1 ,从而, {X=Xi}i≥1 构成样本空间 S 的一个 划分(完备事件组)。记事件 A:=Y∈G,A⊆S 。从而,我们有:

显 然, 事 件 A∩(X=xi)(i≥1) 互 不 相 容, 由 可 列 可 加 性 及乘 法 公 式, 有
所以,
。
(2)连续型全概率公式(1.4)的证明
证明分两步 : (1)密度函数仅在有限区间不为零;(2)密度函数在无穷区间不为零。
第1 步:随机变量X 的密度函数仅在有限区间[a, b] 上不为零。
此时,公式(1.4) 改写为:

对[a,b] 区间的任一分割 T:a=x01<…n-1n=b ,记

记事件 Bi:=xi-1≤Xi(i=1,2,…,n-1),Bn:=xn-1≤X≤xn, 由普通全概 率公式,我们有:

连续型下条件概率表示为:

即,对任意的 ε>0 ,存在 δ⋅0>0 ,当 0<δ<δo 时,
特别,取正整数 ρn ,使得
,则有
(2.2)对 [a,b] 作 Πn 等分,得到一个 [a,b] 上的一个分割:
由(2.1)式和(2.2)式,以及 ε 的任意性,我们有:

第 2 步:随机变量 ΔX 的密度函数在整个实数集 R 上不为零。此时只需要将无穷区间化为有限区间。
由于
且对任意的δ>0 ,概率 
无穷积分收敛且被积函数非负,则对于任意的 ε>0 ,存在aε<0,bε>0 ,使得:
ε
于是,问题由无穷区间转移到有限区间讨论。由无穷区间上积分的极表示,并结合第1 部分的讨论。最终有:

3. 随机变量下全概率公式的应用
在本节中,我们给出一些概率计算例子,以说明随机变量下全概率公式的使用方法。
(1)泊松分布的参数可加性与分解性
参数可加性:设随机变量 X 和 Y,分别服从参数为λ1, λ2>0 的泊松分布,且 X 与 Y 相互独立,则随机变量 Z=X+Y 服从参数为 x1+x2 的泊松分布。
证明: 由随机变量 X 和 Y 分别服从参数为 λ1,λ2>0 的泊松分布,则有:

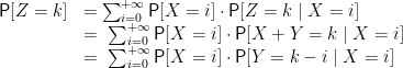
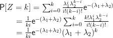
首先, Z=X+Y 的可能取值为: k=0 ,1,2,……。对于固定的k≥0 ,基于随机变量X 使用全概率公式,我们有:

由 ΔX 与 ΔY 相互独立, P[Z=k]=Σi=0+∞P[X=i]⋅P[Y=k-i], 。
注意:当i >k 时,
。因此,
P[Z=k]=Σi=0kP[X=i]⋅P[Y=k-i],

所以, x+y-R(λ1+λ2) 。即,随机变量 X+Y 服从参数为 λ1+λ2 的泊松分布。
证毕。
参数分解性:我们以一个随机实例模型观察泊公分布参数的分解性质。
设进入邮局的人数用随机变量 Z 表示,其中男性人数用随机变量X 表示,女性人数用随机变量 Y 表示,从而,有 Z=X+Y 。假定随机变量Z 服从参数为 λ>0 的泊松分布,并假定每一个进入邮局的人中,以概率 p 为男性,则随机变量 X 服从参数为 λp 的泊松分布,随机变量Y 服从参数为λ(1− p)的泊松分布,并且X 与Y 相互独立。
证 明: 由 随 机 变 量 Z 服 从 参 数 为 λ 的 泊 松 分布,
。
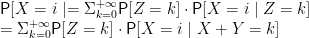
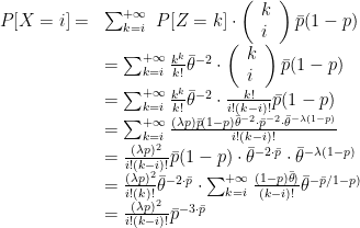
首先计算随机变量X 的分布律。即,计算 P[X=i](i≥0) 。
基于Z 使用全概率公式:

注意:当 k
P[X=i]=Σk=i+∞P[Z=k]⋅P[X=i∣X+Y=k]
由 于 每 一 个 进 入 邮 局 的 人 中, 以 概 率 p 为 男 性。故 
于是,对于任意的i ≥0

所以,
。
类似计算得到: 
所以,随机变量 X 服从参数为 λp 的泊松分布,随机变量 Y 服从参数为 λ(1-p) 的泊松分布。此外,由于,对于任意的 i,j≥0

所以, P[X=i,Y=j]=P[X=i]⋅P[Y=j] 。
因此,X 与 ΔY 相互独立。 证毕。
(2)几何分布的参数可加性
给定观察事件 A,每次试验事件 A 发生的概率为 p ,重复独立试验中,观察事件 ΔA 第 r 次发生的次数,以随机变量 ΔX 表示事件 A 第 r 次发生时所做试验的次数,称随机变量 ΔX 为服从参数(p,r)(0 ,其分布律为:

其中, r 为正整数。
为描述方便,当 r 固定时,改写公式(2.1)为:

参数可加性质: 设随机变量
,其中 r1,r2≥1( (正整数),且 X 与 ΔY 相互独立,则X +Y~Gp,r1+r2) 。
证明: 设 Z=X+Y ,则 Z 的可能取值至少为 r1+r2 的正整数,使用公式(2.2) 的描述形式,考虑概率:
(k≥0) 。
基于随机变量 ΔY 的全概率公式,并由 ΔX 与 ΔY 相互独立,我们:

注意:当j ≥k] 时, P[X=k+r1-j]=0, 。因此,

由组合公式中的二阶求和公式:

所以, 
可见, X+Y~Gp,r1+r2) 。证毕。
(3)连续型全概率公式应用
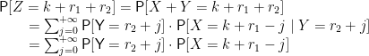
例 1 设随机变量 ΔX 、Y 在(0,1)均服从均匀分布,并且 X 与 Y相互独立,分别求 X+Y , X/Y 的密度函数。
解:由随机变量X、Y 在(0,1)均服从均匀分布,则密度函数为:

(a)随机变量函数 Z=X+Y ,基于随机变量 ΔY 的全概率公式,计算概率:

由 ΔX 与 ΔY 相互独立,
。
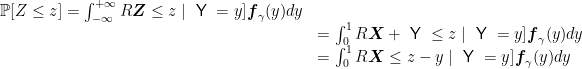
当 z≤0 并且 0

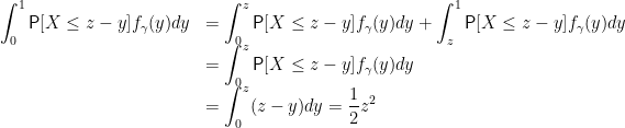
当 1≤z<2 时,

当 z≥2 时, 
因此, X+Y 的分布函数为:

容易看出: X+Y 的密度函数为:
(b)随机变量函数 Z=X/Y ,类似计算得到:
。当 z≤0 时,
。
当 0 。
当

Z=X/Y
所以, 的密度分布函数为:

例 2 设随机变量 X、Y 相互独立,其分密度函数分别为 f×(x),f×(y) ,aX+bY 的密度函数,其中, a, b 为非零常数。则 Z=aX+bY 的密度函数记为:

此公式称为带压缩系数的卷积公式。
证明:设
基于随机变量Y 的全概率公式,计算概率:
由 X 与 ΔY 相互独立,
对
从而,Z 的分布函数
。两 端 对 z 求 导, 并 使 用 含 参 数 积 分 的 求 导 公 式, 得到:
。对 a<0 ,
$\begin{array} { l } { { \displaystyle \ = \int _ { - \infty } ^ { + \infty } ( 1 - R X \le \frac 1 \mathsf { a } ( Z - b y ) ] ) f _ { \star } ( y ) d y } } \\ { { \displaystyle \ = \ 1 - \int _ { - \infty } ^ { + \infty } R \ X \le \frac 1 \mathsf { a } ( Z - b y ) ] f _ { \star } ( y ) d y } } \end{array}$ 类似原理和方法,得到
。最终,
。
参考文献
[1] 柴根象 , 蒋凤瑛 , 杨筱菡 . 工程数学概率统计科明教程(第三版)[M]. 高等教育出版社, 北京 , 2021.(同济大学数学科学学院 编)
[2] 金毅 . 例说全概率公式理解与应用的三个层次 [J]. 数理化解题研究 . 2022(19)
[3] 潘小峰, 聂振荣. 全概率公式下构造递推关系求概率[J]. 高中数理化 . 2022(07)
[4] 苏又 , 梁鑫 , 胡志军 , 李英华 , 马林涛 . “概率论与数理统计”课程的教学创新探讨——以全概率公式和贝叶斯公式为例[J]. 教育教学论坛 . 2022(09)
[5] 杨叶姿 . 概率论模型在医疗工作中的应用 [J]. 科学技术创新 . 2021(02)
[6] 陈晓旭 . 贝叶斯公式的应用推广 [J]. 黑龙江科学 . 2020(12)
[7] 赖皇宇 . 贝叶斯公式的应用探讨 [J]. 科技经济导刊 . 2020(08)