牛奶中残留抗生素的荧光检测研究
李文爽 张玮轩 许鑫毓 邹嘉 元雪 张雯硕 纪程尚 王亚平
烟台理工学院
1 概述
在现代畜牧业中,四环素类抗生素的不合理使用致使牛奶抗生素残留问题突出,威胁消费者健康、挑战食品安全监管。国内已有学者将荧光检测法用于抗菌药物的研究,如高文慧等[1]人采用 Eu3+ 荧光探针检测牛乳中四环素,在 0.05-5μM 的范围内,检测限可至 0.01μM 。李钜哲等[2]人建立了基于碳量子点/铕基金属有机骨架(Eu-MOF)比率传感器检测四环素,检测限低至 0.007μM 。王安琪等[3]人利用聚乙烯亚胺与 Mg2+ 的共同作用快速检测四环素,检测限为 2.7nM 。Zhang 等[4]利用 MoS2 量子点与 Eu3+ 构建比率荧光探针,通过智能手机实现四环素的可视化定量检测,检出限达 0.1μM 。Zhang 等[5]开发了碳点修饰 Eu3+ 的纸基传感器,成功应用于养殖水中四环素的检测,线性范围为0.5-20μM 。Li 等[6]通过石墨烯量子点与 Eu3+ 的协同作用,构建了四环素的选择性检测体系,检测限为 0.23μM 。些研究表明,以 HPLC、ELISA 等技术的检测,存在成本高、检测复杂等弊端[6,7],已经不能满足现在快检奶制品中抗生素残留量的趋势。由于荧光检测具有快速、灵敏和廉价等优点,已成为现在检测研究的热点。
2 实验过程
实验材料中,除自制试剂外,其余均采用 USP 级标准产品,检测仪器选用荧光分光光度计(F-4700),设定激发波长为 600-700nm ,扫描速度为 2400nm/min 。
首先进行溶液配制,取去离子水加热并将发光粉溶于去离子水备用;将发光粉悬浮液与加热后的去离子水超声混合,再加入纤维素钠搅拌溶解;将胶体加入空白荧光纸芯片,干燥处理后,测量并记录试纸荧光强度。配制不同浓度的四环素标准溶液,滴加于荧光纸芯片,对芯片进行荧光检测性能测试。
通过向牛奶上清液中添加已知浓度四环素标准品[3,8],制备加标样本进行检测分析,首先开展牛奶上清液A(添加 Tris-HCl 缓冲液)加标样本的制备与检测,为探究 Tris-HCl缓冲液对实验结果的影响,设计对照实验,制备不添加Tris-HCl 缓冲液的牛奶上清液 B加标样本。
3 结果与讨论
3.1 荧光检测纸基芯片加标测试实验
图1 标准加标芯片荧光曲线及荧光强度增量图

由图 1 可知,经四环素加标测试后,荧光纸芯片展现出良好的检测性能。不同浓度四环素加标的荧光纸芯片,其最大荧光强度均集中在 610-620nm 附近,峰型稳定。将各加标芯片荧光强度与初始芯片数据对比发现,随着四环素浓度升高,芯片荧光强度增量逐渐增大,浓度与荧光强度增量呈现明显的正相关趋势。实验结果表明,荧光纸芯片能够对不同浓度四环素产生稳定且可区分的荧光响应,具备用于荧光检测的可靠性。
3.2 牛奶加标样本检验实验
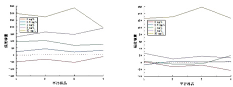
(a)牛奶上清液A 加标芯片荧光强度增量图 (b)牛奶上清液B 加标芯片荧光强度增量图2 牛奶加标芯片荧光强度增量图

由图 2 可见,荧光纸芯片对于牛奶样品的测定具有一定的可靠性,不同浓度的四环素加标样品芯片的荧光强度最高值范围和四环素加标实验的相近,但由于牛奶样品基质影响,荧光强度最高值偏低,把不同浓度样品的荧光强度与空白实验的芯片荧光强度比较,随着四环素浓度的增加,荧光增加的速率也会增加,尽管牛奶基质存在抑制效应,导致检测数值及荧光增量低于标准溶液体系,但芯片仍能有效响应不同浓度的四环素。
加 Tris-HCl 缓冲液检测组比不加 Tris-HCl 缓冲液检测组的荧光信号值更大、变异程度更低,这表明 Tris-HCl 缓冲溶液可减小牛奶中测试结果偏差。实验结果表明荧光纸芯片适用于开展牛奶中四环素荧光检测实验分析,用 Tris-HCl 缓冲溶液配置检测溶液处理样品,显著提升检测效果,提升检测可靠性。
3.3 牛奶加标样本时间稳定性实验
完成牛奶加标样本的首次检测后,将该芯片干燥放置 3 天后进行二次荧光强度测
定。
(a)牛奶上清液A 加标芯片荧光曲线图 (b)牛奶上清液B 加标芯片荧光曲线图图3 牛奶加标芯片荧光曲线图

将牛奶加标芯片首次测试所得的荧光强度数据,与干燥 3 天后二次测试的荧光强度数据进行整理,并计算差值,进行分析拟合,以荧光强度增量为纵坐标,绘制出如下牛奶加标芯片时间稳定性分析图。
(a)牛奶上清液A 加标芯片荧光强度增量图 (b)牛奶上清液B 加标芯片荧光强度增量图图4 牛奶加标芯片荧光强度增量图

由图 4 可以清晰看出,荧光纸芯片在牛奶四环素检测实验过程中,测试时间稳定性不足,在第二次检测时,荧光强度峰值所在范围与第一次检测基本一致,但峰值有明显降低,两者对比后可见荧光强度明显减弱,表明将该芯片应用于牛奶中四环素的荧光检测时应现用现配,长时间放置对测试结果有很大影响。
通过对比加入 Tris-HCl 缓冲液和不加入 Tris-HCl 缓冲液检测数据可知,加入Tris-HCl 缓冲液检测数据稳定性与检测强度均优于不加入Tris-HCl 缓冲液检测数据稳定性与检测强度。
4 总结
本研究以荧光检测纸基芯片制备与四环素检测为目的,设计制备参数、荧光检测加标试验实验以及荧光检测牛奶样品试验实验。荧光检测纸基芯片加标测试实验结果得出,芯片对不同四环素浓度的响应较好,最大荧光强度均在 610nm-620nm 处取得。不同浓度的四环素对芯片都有荧光强度增量,浓度越大,增量也越大,表明芯片用于荧光检测可靠。
牛奶加标样本检测实验的荧光纸芯片荧光强度最大值部位与纯四环素加标样本相同,但因其含有牛奶,其最大值被降低。加有 Tris-HCl 缓冲液的样品的检测结果明显优于没有加 Tris-HCl 缓冲液的样品的检测结果。通过在牛奶中进行检测,发现用检测芯片检测是可行的,但是在牛奶中稳定性差,荧光强度随着时间的延长而降低。
参考文献
[1]高文慧, 王兆群, 张勇, 等. Eu3+ 荧光探针构建及对牛奶中盐酸四环素残留的测定[J]. 分析科学学报, 2017, 33(06): 822-826.
[2]李钜哲, 施蕴仪, 胡杰, 等. 基于碳量子点/铕基金属有机框架荧光探针定量检测牛奶中的四环素类抗生素[J]. 食品安全质量检测学报, 2024, 15(16): 10-19.
[3]王安琪, 钱美汝, 王雪, 等. 聚乙烯亚胺和 Mg2+ 荧光增敏快速检测四环素类抗生素[J]. 林业工程学报, 2024, 9(04): 72-78.
[4]ZHANG J F, SHI G Y. Rational design of MoS2 QDs and Eu3+ as a ratiometric fluorescent probe for point-of-care visual quantitative detection of tetracycline via smartphone-based portable platform[J]. Analytica Chimica Acta, 2022, 1198: 339572-339572.
[5]ZHANG J L, CHEN Y Y, QI J, et al. A paper-based ratiometric fluorescence sensor based on carbon dots modified with Eu3+ for the selective detection of tetracycline in seafood aquaculture water[J]. The Analyst: The Analytical Journal of the Royal Society of Chemistry; 2024.
[6]苏采薇, 白龙, 褚希, 等. 基于金属增强荧光 Ag@SiO2-Cit-Eu3 + 探针检测四环素[J]. 分析试验室, 2024: 1-9.
[7]杨杰, 杨学山, 马晓彤. 荧光碳量子点分子印迹聚合物的制备及其对动物性食品中四环素的检测[J]. 食品与发酵科技, 2024, 60(03): 104-111.
[8]张仲鑫, 王佳雯, 王晨旭, 等. 牛奶中恩诺沙星抗生素残留的 SERS 检测研究[J].山东化工, 2025, 54(02): 169-172+179.