不同植物群落结构类型内秋季空气负氧离子的监测与评价
王茜
北京市园林绿化科学研究院
植物群落可以改善小气候,使其周边环境达到令人舒适的效果[1]。空气负氧离子作为关键环境要素,其生物学效应具有双重价值:一方面,通过刺激血清素分泌改善情绪调节机制,促进中枢神经系统递质平衡,有效缓解焦虑抑郁症状;另一方面,凭借强氧化特性实现空气净化功能,可清除空气中病原微生物及过敏原,对呼吸系统和免疫屏障形成保护效应。北京市朝阳区望湖公园位于望京街道东北地区,占地面积 21.7 公顷,绿地面积19.35 公顷,水面积1.19 公顷,园内绿地覆盖率大,环境清新自然,植物种类众多,生长良好,拥有多种植物群落类型,具有开展秋季空气负氧离子浓度实验的条件。
1 植物群落结构样地选择
图1 植物群落样地位置图

选择北京市望湖公园中的9 种常见植物群落类型,包括:乔灌草、乔灌、乔草、灌草、乔、灌、草、水生、对照,样地植物见表 1。每个样地的大小为 10m*10m,样地的位置选择尽量平均散布于整个公园,增加客观性,防止集中于一处导致数据不合理。
表1 样地植物名录

2.1 监测方法
在秋季选取天气晴朗,温度适宜的日期开展实验,且为保证数据的准确性,应连续测量三天。在 7:00-18:00时间段内,每隔 2 h 对全部样地的气象数据进行测量和记录,每次每个样地测量三个样点,监测高度为距离地面1.5m 处,测量时由两组工作人员进行以确保在9 个实验样地的所有数据在20min 内测量完成,保障数据的准确性[2]。
使用 WX-FY3 空气负氧离子监测仪,在样地内选取三个样点,每个样点测量3 分钟数据,3 分钟后读取平均值,一个样地共记录3 个数据。
2.2 监测工具
2.3 评价方法
空气负(氧)离子有“空气维生素和生长素”的称号,其是指空气中含氧负离子与若干个水分子结合形成的原子团,放射性物质使空气电离,可以产生负氧离子,在自然界中,雷电、运动水体(瀑布、海浪等),以及自然界树木的树冠、叶端的尖端放电和在绿色植物叶表面发生的光电效应等也能够产生较高浓度的空气负氧离子[3]。一般认为空气负氧离子对空气有除尘、抑菌、除菌、除臭的作用,同时还能对人体健康及心理健康产生有利的影响,负氧离子对空气产生清洁作用后,可以减少人体呼吸道疾病的发生几率,在心理方面可以改善情绪、缓解压力等作用[4]。
现有研究表明,当负氧离子浓度达到700 个/cm³阈值时,可产生明确的人体健康促进效应;当浓度超过1000个/cm³时,对某些病理状态具有辅助治疗价值[5]。
3 不同植物群落结构内秋季空气负氧离子水平监测与评价
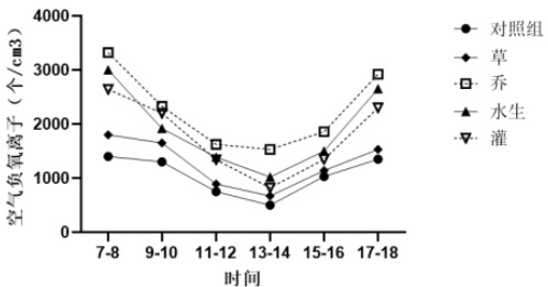
秋季负氧离子日变化(单结构层次)
图3 秋季空气负氧离子日变化图(单结构层次)

图4 秋季空气负氧离子日变化图(多结构层次)

2 负氧离子水平监测和评价
由图 3 和图 4 可见,秋季空气负氧离子浓度排序为:对照组(平均 1055.00 个/cm3)<草(平均 1280.83 个/cm3)<灌(平均 1774.65 个/cm3)<水生(平均 1913.11 ↑↑cm3. )<乔草(平均 2091.13 个/cm3)乔(平均 2264.15 个/cm3)<灌草(平均 2358.37 个/cm3)<乔灌(平均 2866.67 个/cm3)<乔灌草(平均 3161.63 个/cm3) 。秋季负氧离子浓度在各时间段由低到高排列为:13:00-14:00(平均 1150.31 ↑/cm3) < 11-12(平均 1538.71 个/cm3) <15-16(平均1784.85 个/cm3) <9-10(平均 2404.72 个/cm3) <17-18(平均 2566.53 个/cm3) <7-8(平均 3065.24 个/cm3)。
4 结语
通过对望湖公园的不同植物群落结构内夏季空气负氧离子水平的检测和评价可知,秋季的负氧离子浓度走势整体呈谷型,由低到高排序为:中午<下午<上午。秋季负氧离子浓度在在三层结构的乔灌草负氧离子浓度最高,两层次结构的植物群落负氧离子浓度普遍高于单层次结构,且由乔木组成的植物群落普遍高于同等级中没有乔木的植物群落。
参考文献
[1]李兴东.植物群落的组成与结构[J].生物学通报,1993,(06):6-7.
[2] 呼万峰. 康复景观设计解析与实践—— 以美国芝加哥植物园比勒体验花园为例[J]. 中外建筑,2013,(10):109-111.
[3]潘剑彬,李佳妮,李树华,等.城市绿地植物群落与空气负离子空间分异特征相关关系研究——以北京奥林匹克森林公园为例[J].中国林,2022,38(06):57-62.DOI:10.19775/j.cla.2022.06.
[4]林忠宁.空气负离子在卫生保健中的作用[J].生态科学,1999,(02):89-92.
[5]JIANG B, CHANG C Y, SULLIVAN W C. A dose of nature: Tree cover, stress reduction, and gender differences[J]. Landscape and Urban Planning, 2014, 132: 26-36.