小角度检查仪两定位指示计轴线间距离测量结果的不确定度
孙柏松 王艳青
中车大连机车车辆有限公司 辽宁大连 116041
小角度检查仪是一种用于产生标准微小角度的测量仪器,主要用于检定自准直仪、合像水平仪、电子水平仪等计量器具,依据JJF1109-2003《小角度检查仪检定规程》对其进行检定时的主要技术指标为两定位指示计轴线间距离,下面就小角度检查仪两定位指示计轴线间距离测量结果的不确定度进行详细分析。
一、概述
1、测量依据:JJF1109-2003《小角度检查仪检定规程》。
2、测量环境:温度为(20±3)℃,温度变化≤1℃/h。
3、测量标准:1)千分尺,MPE:±4μm,(20~50)mm;2)千分尺,MPE:±14μm,(500~600)mm;3)量块,5 等,(0.5~100)mm;4)量块,5 等,(125~500)mm。
4、被测对象:小角度检查仪
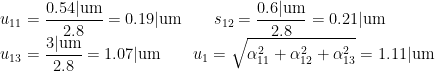
5、测量方法:用测量范围(25~50)mm 的1 级千分尺和拼接尺寸为28mm 的五等量块在两定位指示计 Φ28mm 管柱的下端比较校准管柱直径。用(500~600)mm 的1 级千分尺和拼接尺寸为528mm 的五等量块在两定位指示计 Φ28mm 管柱的下端比较校准两定位指示计外侧母线间距离,计算出两定位指示计轴线间的距离。
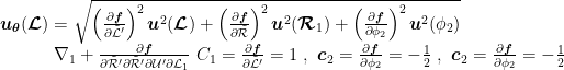
二、测量模型
两定位指示计轴线间距离:
式中:
L—两定位指示计轴线间距离,μm;L —两定位指示计外侧母线间距离,μm;
Φ1,Φ2—两管柱直径,μm。三、不确定度传播系数

四、测量不确定度的来源
1、由尺寸为528mm 的五等量块中心长度测量不确定度引入的标准不确定度分量
2、由(500~600)mm 的一级千分尺的示值误差引入的不确定度分量
3、由尺寸为28mm 的五等量块中心长度测量不确定度引入的标准不确定度分量 zk3i
4、量块与小角度检查仪温差引入的不确定度分量
5、量块与小角度检查仪线膨胀系数差引入的不确定度分量
6、由(25~50)mm 的一级千分尺的示值误差引入的不确定度分量 zξ
7、由测量重复性引入的不确定度分量
8、两定位指示计外侧母线间距离测量引入的不确定度分量
9、两管柱直径测量引入的不确定度分量五、各输入量的标准不确定度分量的评定
五等量块中心长度测最大允许误差 MPE:±(0.5µm+5L),按正态分布处理,其包含因子 kϕϕ = 2.8,则尺寸为 8mm,20mm,500mm的五等量块引入的不确定度为:

2、由(500~600)mm 的一级千分尺的示值误差引入的不确定度分量
(500~600)mm 的一级千分尺最大允许误差为MPE=±14µm,按均匀分布,其覆盖因子k=
则:
3、由尺寸为28mm 的五等量块中心长度测量不确定度引入的标准不确定度分量
五等量块中心长度测最大允许误差 MPE=±(0.5+5L) µm,按正态分布处理,其包含因子
,则:

4、量块与小角度检查仪温差引入的不确定度分量
恒温后,量块与小角度检查仪温度差不超过0.1℃,服从矩形分布,线膨胀系数为11.5×10-6 V-1 ,对于尺寸为 8mm,20mm,500mm的量块:
5、量块与小角度检查仪线膨胀系数差引入的不确定度分量
量块与小角度检查仪线膨胀系数标称值相同,假定实际相差
,服从 U 型分布,当在规定的极限条件(20±3)℃时,对于尺寸为 8mm,20mm,500mm 的量块:

6、由(25~50)mm 的一级千分尺的示值误差引入的不确定度分量
(25~50)mm 的一级千分尺最大允许误差为 MPE=±4µm,按均匀分布,其覆盖因子k=
则:

7、由测量重复性引入的不确定度分量
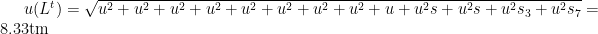
在进行重复性试验时,10 测量得到数据(单位 mm)527.909、527.909、527.906、527.906、527.906、527.906、527.908、527.908、527.906、527.906 由贝塞尔公式算得标准偏差

8、两定位指示计外侧母线间距离测量引入的不确定度分量

9、两管柱直径测量引入的不确定度分量

六、标准不确定度汇总表

合成标准不确定度的评定

扩展不确定的评定
通过小角度检查仪两定位指示计轴线间距离测量结果的不确定度计算,可满足对两定位指示计轴线间距离的校准。参考文献
[1] JJF1109-2003 小角度检查仪检定规程,国家质量监督检验检疫总局,2002.
[2] 林伟光.小角度检定仪装置总不确定度的估算.计量与测试技术,1999.
[3] JJF1059.1-2012 测量不确定度评定与表示,国家质量监督检验检疫总局,2012.