缩略图
Education and Training

小学数学跨学科主题学习策略

作者

万姝姝

榆林市第十九小学 719000

在教育改革深化核心素养培养的背景下,跨学科主题学习成为小学数学改革的关键方向。它强调在真实或模拟的情境中,整合多学科知识、方法与视角,解决复杂问题,促进学生知识迁移与综合素养提升[1]。运算律(加法交换律、结合律,乘法交换律、结合律、分配律)是小学数学的基石,具有高度的抽象性、逻辑性和广泛的应用性。传统教学中,学生易陷入机械记忆与操练,难以深刻理解其本质与价值。将跨学科主题学习引入运算律教学,具有以下优势:

符合认知规律:借助其他学科的具象化手段(如科学实验、艺术表达、语言描述),化解抽象概念的理解障碍。

激发内在动力:打破学科壁垒,创设新颖、有趣、真实的学习情境,大幅提升学 习兴趣与参与度。

彰显应用价值: 在解决科学、艺术、社会等领域的问题时,直观感受运算律的普适性和工具性。

培养核心素养:在知识融合与应用中,锻炼逻辑推理、创新思维、批判性思考及问题解决等关键能力。

跨学科主题学习对“运算律”教学的促进作用

帮助理解抽象概念

运算律的概念对于小学生而言较为抽象,理解起来有一定难度。作为数学中的核心概念,其抽象性常常让小学生难以领会。不过,引入其他学科的情境,能够有效地将抽象的运算律概念具象化,助力学生更好地把握其本质。把运算律应用于课堂问题的解决过程中,这样的实践操作不仅能让学生直观地体会到运算律的实际应用价值,还能加深他们对数学概念的理解。此外,从语文、艺术等不同学科的视角切入,可以帮助学生从多个角度理解运算律的概念,从而提高学习效果。由此可见,引入多学科视角能够丰富学生对运算律的认知,使其从单一抽象数学概念的理解转变为多维度的综合理解。

提升学习兴趣与积极性

跨学科主题学习能够凭借新鲜感打破传统数学教学的单调模式,进而激发学生对运算律的学习热情和积极性。在传统数学教学里,运算律的学习往往仅依靠简单的识记和运算来完成,学生极易丧失学习兴趣。跨学科主题学习则是通过整合多学科知识,为学生带来多学科的学习体验。这种学科整合的学习方式,能够将数学学科与其他学科紧密相连,让学生清晰地看到数学学科与其他学科之间的联系[2]。此外,跨学科主题学习还能紧密联系实际。它将运算律与生活中的实际问题相结合,使学生认识到学习运算律的必要性,从而激发他们的学习热情与积极性。在传统教学中,学生很难体会到学习运算律的必要性,而跨学科主题学习能够通过设计真实情境,让学生看到运算律的应用价值,帮助他们认识到数学知识在生活中的广泛用途。

培养综合运用能力

跨学科主题学习有助于推动学生在不同学科情境中运用运算律解决问题,促进其综合应用能力的发展。在科学探究过程中,运算律常用于数据分析与模型构建;在艺术领域,学生借助绘画、手工等形式展现运算律,创作出富有美感的艺术作品。这既提升了他们的艺术素养,又增强了数学思维的应用能力。通过在不同学科领域灵活运用运算律,学生逐步形成跨学科解决问题的能力,为未来的学习和发展奠定了坚实基础[3]。

运算律教学的跨学科融合策略 利用语文阅读理解运算律应用情境

在小学数学运算律的课堂上,合理借助语文阅读素材,能为学生理解运算律的应用场景搭桥铺路。许多语文阅读素材中都蕴含着数学问题,教师可引导学生对文本进行分析,将抽象的运算律与具体场景相结合。

以经典数学故事《曹冲称象》为例,这个故事不仅是语文学习的经典篇目,也为数学运算律教学提供了鲜活的素材。教学时,可先让学生阅读《曹冲称象》的故事,再引导学生思考曹冲称象的方法:曹冲把大象赶到船上,在船身标记吃水线,接着将船里的大象换成石头,使船身达到刚才标记的吃水线位置,最后通过称石头的重量来知晓大象的重量。这一过程实际上就是等量代换,与数学中的等式性质紧密相关,而等式性质又是运算律的重要基础。在称石头重量时,由于石头数量较多,可引导学生思考如何运用加法结合律简便计算石头的总重量。例如,把石头分成几堆,先计算每堆石头的重量,再将每堆重量相加,即( a+b ) +c=a+ ( ),这样学生就能轻松理解

加法结合律。

在科学实验中运用运算律进行数据处理

在科学实验领域,数据处理至关重要,其精准度直接影响实验结果的可靠性与科学性。小学数学里的运算律在科学实验中能够发挥重要作用,它可以让数据处理过程更加简洁,提高实验效率。

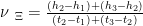
在选择适合的科学实验时,教师应尽可能挑选能够测量、记录数据并需要进行计算的实验,例如物质的溶解实验、植物的生长实验等。这样学生能直观看到数学运算的结果,也便于他们应用数学运算律。比如在“探究植物的生长速度”实验中,学生需定期测量植物的长度、叶片等数据。在分析数据时,常常需要计算植物在一段时间内的生长速率。假设在 t1 到 t2 时间段内,植物高度从 h1 增长到 h2 ,平均增长速率 。若要计算多个时间段内的总平均生长速率,涉及多个数据的加减运算,对应数据为 )(t2, h2 )(t3,h3)。计算总平均生长速率时,可先将各时间段的高度变化量相加,再除以总时间间隔,即 ,运用加法结合律和交换律可变形为 ,大大简化了计算过程。通过这样的指导,学生能够在科学实验中逐步掌握运算律的应用技巧,同时提升综合分析和解决问题的能力。

运用艺术创作展现运算律的规律与美感

艺术创作是学生表达内心想法和情感的重要途径。在“运算律”教学中,引导学生借助图画、手工、音乐等形式进行呈现,能让学生在艺术创作过程中感知数学之美,加深对运算律的印象。

在绘画方面,教师创设以“运算律之美”为主题的绘画任务,让学生运用数学图形和色彩来表达运算律。例如,在以绘画形式表达乘法交换律时,学生可以绘制一个由若干小正方形组成的大长方形,将其沿对角线分割成两个三角形。若小正方形的边长为 1,大长方形的长为 a,宽为 b,那么从左到右计算小正方形的数量,根据长方形面积公式可得数量为 ab ;从右到左计算,同样依据长方形面积公式,数量为 ba ,由此直观地展示出 ab=ba ,即乘法交换律。

在音乐教学中,教师可以让学生根据运算律的规律编创简单的节奏型。例如编创加法结合律的节奏片段,首先选定三种不同的打击乐器:鼓、三角铁、沙锤,分别代表三个不同的加数。开始时,用鼓连续敲击 3 下,代表第一个加数 a;接着三角铁连续敲击 4 下,代表第二个加数 b;然后沙锤连续敲击 5 下,代表第三个加数 c,此时节奏为 a+b+c 。之后,改变节奏顺序,先让三角铁敲击 4 下,再让沙锤敲击 5 下,最后鼓敲击 3 下,节奏变为 b+c+a0 。通过对比这两种节奏,学生能够感受到,虽然演奏顺序发生了变化,但整体的节奏时长(相当于加法中的和)并未改变,这就如同加法结合律中,三个数相加,改变运算顺序,和不变。学生还可以尝试用不同的音符时值来代表不同的加数,通过组合音符来创作更为复杂的节奏旋律,从而进一步加深对运算律的理解。

结语

跨学科主题学习在运算律教学中的实践,为小学数学教学注入了全新的思路与方法。将数学学科与其他学科进行知识融合,不仅有助于学生深化对学科概念的认识与理解,还能激发学生对数学的学习兴趣,提升学生的综合能力。上文借助语文阅读、科学实验、艺术创作等学科开展跨学科主题学习,使学生能够从多个角度认识运算律的真正意义和艺术内涵,进而实现知识理解以及知识的迁移运用。因此,跨学科主题学习不仅是运算律教学的有效补充,更是提升学生核心素养的有效路径。

参考文献

王兴.数学跨学科主题学习实践探究[J].小学教学参考,2024,(9):51-53.

孙庆亮;任亚南;闵梦媛.小学数学跨学科教学实践探究[J].小学教学参考,2024,(8):93-95.

朱宁波;靳荫雷.素养本位的跨学科主题学习:意义阐释与实施路径[J].教育科学,2023,39(4):19-26.