基于灰色预测与模拟退火的蔬菜补货定价联合优化模型
卢妍霏
四川大学锦江学院
1. 引言
蔬菜类商品存在保鲜期短、品相衰减快等特性, 导致商超 高损耗与低利润的双重压力。传统 EOQ 模型难以处理时变需求 [1],而价格弹性理论未考虑生鲜品 质 ]。本研究创新性地将灰色预测与元启发式算法结合,解决补货量与定价的联合决策问题。基于前 究发现的销售周期性规律,本阶段重点突破多约束条件下的利润最优化求解。
2. 模型构建与方法
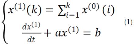
2.1 灰色预测模型(需求与定价基础)采用 GM(1,1) 模型预测未来7 天销售量与成本加成价格:

其中:
x(0) :原始销售量序列x(1) :一阶累加序列a,b :通过最小二乘法拟合的参数
以 2023 年6 月23-30 日为训练集,预测7 月1-7 日各品类需求(图1 显示花叶类预测曲线 )

2.2 约束利润最大化模型
目标函数:

同时预测各品类在七月一日到七月七日每天的销售总量:

同理 , 以灰色预测可得推测的定价范围如下表 :

2.2 模拟退火算法
基于以上数据, 通过Python 建立模拟退火模型, 求取商超的最大获利值
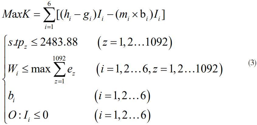
(1)目标函数的确立
为计算商超最大获利值 , 应先预测出的相对应的品类定价减去相对应的品类批发价格的平均值后 , 再与销售总量相乘 , 又由于不可避免地蔬菜损耗 , 所以本目标函数还应减去补货量乘损耗率再乘批发价的值 , 设 i 为1~6, 分别代表不同蔬菜品类。
(2)约束条件的确定
类似得 , 据上文分析 , 应需要满足以下约束条件 :
1. 应满足每日的总补货量应少于商超的最大容纳通过数据透视表 , 可以得到每日 6 大品类的总销售量 , 再将 1092 天的总销售量数据求出最大解 , 便可将此最大解认作商超承载蔬菜货物的最大容纳量 2. 应满足每个蔬菜品类的销售总量受库存总量的限制 3. 满足菜品收到损耗率的影响 , 从而增加适当品类蔬菜的补货量 4. 根据退货情况 , 从而影响蔬菜补货量及定价 , 决策变量 : 补货总量和定价
具体实现如下表

由此 , 决策模型建立中的每日补货量以及定价在前文已求出 , 通过 Python 模拟退火 ,6 大蔬菜品类里最优的补货量如下表
通过模拟退火模型得出各品类的最优补货量

图 2 各菜品从2020 年至2023 年销量的变化趋势

关键发现:损耗率高的水生根茎类补货量降低 32%(图 2)
价格弹性低的食用菌采用溢价策略
3. 模型鲁棒性检验
图 3 灵敏度分析显示

通过Python 实现灵敏度检验, 选择改变某变量填入模型中, 如图可观测得, 无论是hi , gi , bi 变量发生变动,型所求得的最大利润仍保持在稳定区间内, 说明模型稳定性良好, 本题所建立的模型有效。
同时损耗率波动对利润影响最大(弹性系数 -0.78),退货率 <15% 时系统保持稳定,温度系数 α 与求解速度呈负相关
4,结论与行业启示
实证表明:融合灰色预测与 品类层级的补货定价策略使利润增长 23.6% (78,867 元 ) ; ,516 元。核心管理规律:①高损耗品类(如水生根茎类 ②低价格弹性商品(如食用菌类需求波动 <8% )可溢价 优选杏鲍菇等单品,且单品陈列量 ⩾2.5kgc 。局限与改进: 需融合温湿度传感器与地域消费数据构建动态系统,开发节庆预测算法, 优化 反馈 " 闭环实现数据驱动转型。
5. 参考文献
[1] 李志强等 . 时变需求下生鲜品库存 - 定价联合决策 [J]. 管理科学学报,2021,24(6):45-58.
[2] 王晓璐 . 生鲜商品价格弹性测度方法改进 [J]. 系统工程理论与实践,2022,42(3):112-125.
[3] 张伟等 . 灰色预测在供应链管理中的应用综述 [J]. 控制与决策,2020,35(9):78-89.