补偿收缩混凝土施工技术研究报告
余东
中国水电建设集团十五工程局有限公司第三工程公司
1、工程概况与研究内容
1.1 工程概况
延安黄河引水工程是省委、省政府确定的全省十大重点水利工程之一,也是向一区(延安主城区)四县(延长、延川、子长、清涧)及所属两工业园区(永坪工业园区、延长工业园区)供水、破解延安水资源瓶颈的“生命线”工程。主要由黄河延水关取水枢纽、9 座加压泵站、146 公里输水管(洞)线,延水关泥沙处理站、高家湾和东川净水厂、南河调蓄水库、康家沟事故应急库等组成。工期55 个月。概算总投资43.85 亿元。
1.2 研究意义与目的
近年来,补偿收缩混凝土在国内已成功应用于多项国家重点工程,其中包括国家体育场,国家游泳馆,奥林匹克国际会议中心,首都和广州白云机场新航站,北京、天津地铁,深圳华为科研中心,苏州科技新天地,三峡水电站以及秦山、田湾核电站等数千个抗裂防渗工程。根据补偿收缩混凝土的特性,其结构自防水效果、超长结构无缝设计施工新技术以及大体积结构混凝土的裂缝控制新方法在我局尚无类似工程经验,因此对其施工技术进行研究具有重大意义,其目在于控制指导高家湾水厂大型池体补偿收缩混凝土施工,提高水厂池体的抗渗效果,获得较好的经济技术效益。
1.3 研究方法与内容(1)研究方法
根据高家湾水厂补偿收缩混凝土施工现场布置情况,从以下顺序及方法进行研究。
①从配合比设计进行研究,分析其适用性和可靠性,不断优化配合比。具体工作内容为:通过已经浇筑混凝土情况和试块情况分析配合比,并不断进行优化。
② 在混凝土浇筑过程中埋设检测仪器,定期进行观测,采集数据,分析混凝土内部变化和外部变化的关系。
(2)本项目主要研究的内容:
①首先研究适合本项目的补偿收缩混凝土配合比,通过不断优化,达到最佳效果,为本项目提供质量保证,也为后续类似工程积累配合比设计方面经验。
②通过对水厂大面积补偿收缩混凝土施工全过程实时连续监测,研究补偿收缩混凝土温度、应变的基本变化规律,以及温度变化对应变的影响,掌握补偿收缩混凝土施工中的温控技术。
2、补偿收缩混凝土配合比设计试验
2.1 混凝土配合比设计要求
表2-1 混凝土设计技术要求

备注:补偿收缩混凝土限制膨胀率为0.025%~0.030%
2.2 原材料
本工程水泥采用陕西铜川药王山生态水泥有限公司生产的尧柏 P⋅O42.5 水泥,粉煤灰采用河津市龙辉建材有限公司生产的粉煤灰,粗细骨料采用延川县延水关砂石料厂生产的黄河河砂和碎石,外加剂采用山西康特尔精细化工有限责任公司生产的KTPCA 型缓凝型高性能减水剂、KT 型引气剂、KT-2 型混凝土膨胀剂。
经检验水泥、粉煤灰、粗细骨料及外加剂各项指标均符合规范及设计技术要求。
2.3 混凝土配合比设计
(1)确定混凝土配制强度
混凝土配制强度按: fcu,0=fcu,k+tσ ;式中:
fcu,0- --混凝土配制强度,MPa;
fcu,k* --混凝土设计龄期的立方体抗压强度标准值,MPa;t---概率度系数,混凝土强度保证率取95%时,t=1.645;σ---混凝土立方体抗压强度标准差,MPa。
表2-2 混凝土配制强度表

(2)水胶比的计算与确定
依据《水工混凝土配合比设计规程》DL/T5330-2015、《水工混凝土施工规范》SL677-2014 以及设计图纸中环境类别,确定混凝土水胶比。
(3)单方用水量及砂率
依据《水工混凝土配合比设计规程》DL/T5330-2015 和施工图纸相关技术要求,经过试拌调整,确定满足拌和物性能指标的C30P8F200 补偿收缩混凝土基准配合比单方用水量162kg,水胶比0.40 时砂率为 40% 。C30P6 补偿收缩混凝土基准配合比单方用水量161kg,水胶比 0.40 时砂率为 40‰ 。C35 补偿收缩混凝土基准配合比单方用水量 162kg,水胶比 0.37 时砂率为 41% 。
2.4 混凝土推荐配合比补偿收缩混凝土推荐配合比详见表2-3。
表2-3 补偿收缩混凝土推荐配合比


3、补偿收缩混凝土施工方案
3.1 补偿收缩混凝土浇筑施工方案
补偿收缩混凝土浇筑采用高家湾四级站厂区自建 1m3 拌合站集中拌制, 8m3 ³混凝土搅拌运输车运输,混凝土汽车泵泵送入仓,平仓法或台阶法分层分段浇筑。开仓后池体混凝土需从底到高连续浇筑,水池池壁混凝土水平施工缝留在底板60cm 以上至顶板60cm 以下,垂直施工缝留在后浇带处,入仓混凝土采用人工平仓,插入式振捣器振捣。混凝土养护采用人工洒水养护并配合覆盖棉毡布,连续养护时间不少于28d。补偿收缩混凝土具体施工工艺详见图2。
图2 工艺流程图

3.1 补偿收缩混凝土浇筑注意事项
(1)混凝土入仓前检测塌落度、和易性、温度等指标。混凝土浇筑时均匀上升,浇入仓面的混凝土随浇随平仓,不得堆积,仓内若有粗料堆积时,人工均匀地洒布于砂浆较多处,以免造成内部蜂窝。
(2)混凝土振捣注意振捣器插入混凝土的间距不超过振捣器作业半径的1.5 倍,做到“快插慢拔”,并以混凝土不再显著下沉,不出气泡,开始泛浆为准,防止过振、漏振;振捣棒插入按梅花形布置,严禁振捣器直接碰撞模板,钢筋及预埋件,预埋件周围应细心振捣,辅以人工捣固密实。
4、补偿收缩混凝土温度及应力应变检测
图1 应变计安装图

延安黄河引水工程高家湾水厂补偿收缩混凝土限制膨胀率应力应变观测采用南京南瑞集团公司生产的NZS-15 型差动电阻式应变计。
4.1 补偿收缩混凝土应变计安装
在补偿收缩混凝土浇筑过程中,将应变计用垫块绑扎固定在内部钢筋主筋上,具体详见图
应变计计安装1 米范围内的混凝土振捣采用人工振捣,防止损坏设备。
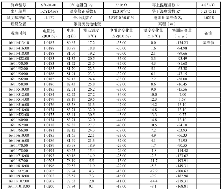
4.2 补偿收缩混凝土应力应变检测情况
表 4-2-1 差阻式 S31-01-01 三向应变计记录、计算表


5、补偿收缩混凝土施工技术研究效用
5.1 研究成果效用分析
通过对延安黄河引水工程高家湾水厂大型水厂池体补偿收缩混凝土施工技术的研究,指导了整个水厂工程的施工,为补偿收缩混凝土施工提供可靠依据,确保实现水厂混凝土无裂缝、无渗漏,达到高效率的施工效果,对以后类似工程施工具有指导、借鉴作用。
5.2 对工程实施起到的作用
通过对大型水厂补偿收缩混凝土施工技术研究,总结出一套切实可行、操作方便、高效的施工方案、施工工艺及质量控制措施,可以提高水厂混凝土的抗裂、抗渗性能,为以后类似工程提供指导性、规范性施工经验。确保了本工程水厂混凝土施工的质量,提高了进度、降低了裂缝处理所产生的工程成本等。
5.3 产生的经济和社会效益:
(1)经济效益
由于本工程水池均为薄壁结构,防水要求较高,所以施工中不允许产生混凝土裂缝。通过对补偿收缩混凝土特性及施工技术研究,摸索及总结出一套切实可行、保证施工质量的控制措施和施工技术,消除混凝土裂缝,降低处理混凝土裂缝的费用。
(2)社会效益
目前补偿收缩混凝土与普通混凝土相比较,具有抗渗性能优,抗开裂性能强,抗硫酸盐性好的特点,近几年补偿收缩的用途迅速增加,补偿收缩混凝土的应用范围较宽,广泛适用于地下防水、贮罐、路面、屋面、楼板、墙板、管道、接缝等工程中。
参考文献:
[1]李立军.补偿收缩混凝土无缝施工技术[J].工程技术:引文版,2016(6):00115-00115.
[2]蔡团兴.补偿收缩混凝土无缝施工技术及实践[J].中国建设信息化,2015(13):68-69.
[3]李克冰.超长钢筋混凝土结构无缝施工技术应用[J].建材与装饰,2016(27).