“双碳”背景下安徽省FDI 对碳排放量的影响研究
张雷
阜阳师范大学 数学与统计学院 安徽 阜阳 236037
中图分类号:F127 文献标识码:A
1. 引言
近年来,碳排放量不断增加导致的温室效应严重影响着自然环境和经济社会,加快低碳经济建设迫在眉睫。随着经济全球化不断深入,省外商直接投资总量持续增长。外商直接投资的增加在一定程度上促进了省经济的增长,也带来环境问题,年度碳排放量呈现增加趋势,碳排放强度高于国家平均水平。不难发现,经济水平的提高似乎是以牺牲自然环境为代价的。因此探究外商直接投资影响省碳排放量的意义是十分显著的。
学者关于外商直接投资对碳排 研究大致分为两种假说,其一为“污染天堂”假说,另一种为“污染光环”假说。国内外学者 Anderw K Jorgenson(2007)建立固定效应回归模型发现 39 个发展中经济体 作用。柯瑞 (2020)建立理论模型和实证模型分析得出 FDI 在刺激我国经济发 成了对环境 方染 胡本田和邵俊琪(2022)采用空间杜宾模型以及面板门槛模型分析得出 F I 加 剧了各地区的 氧化碳排放。陈雅豪(2023)运用面板回归发现 FDI 对我国制造业的碳排放量具有明显的推动。
而对于认可“污染光环”假说的学者,也有着足够的理论支持。Tang 和 Tan(2016)利用协整分析和格兰杰因果检验发现越南的 FDI 与碳排放总量存在协整关系,并且 FDI 对越南的碳排放起到抑制作用。高冉冉(2022)利用固定效应模型实证检验了 FDI 显著抑制中国工业碳排放。郝宇和巴宁等(2021)利用计量模型分析得出外商直接投资有效降低了我国区域二氧化碳排放水平。何冬太(2022)运用 VAR 模型分析得出 FDI 在短期内有助于节能减排。
综上所述,国内外学者关于 FDI 与碳排放量的关系做了比较充分的研究,但目前关于 FDI 对碳排放量影响研究大部分都基于省际数据,单独对省的研究较少。鉴于此,本文以 2001—2020 年省的相关数据,试图建立联立方程组模型说明FDI 对碳排放量的影响。
2.FDI 影响碳排放量的理论分析
目前关于 FDI 对流入地区环境的影响研究中,最为著名的理论为分解效应模型,是指 FDI 通过规模、结构及技术三大效应影响环境,另外政府越来越重视环保,因此环境还受环境管制效应影响。综上,本文将从这四个方面来分析省FDI 对碳排放量的影响。
2.1 规模效应
在经济发展初期,FDI 的流入对环境的影响较小,随着经济规模的增加,在到达某个拐点前,流入地区更偏向于追求经济效益而轻环境保护,在到达拐点之后,人们对环境质量有更高的要求,会促使政府加大对环境的保护。考虑到大多数发展中国家仍然处于拐点左侧,即经济规模扩大仍然会导致环境恶化。因此,提出假设H1 :对于省,FDI 带来经济规模的扩大会导致碳排放量增加。
2.2 结构效应
如果 FDI 流入一三产业,不仅会给流入地区带来经济增长还能改善环境,结构效应产生积极影响。如果FDI 流入第二产业,越多的 FDI 流入会恶化环境,尤其是制造业等高污染行业,结构效应有消极影响。从流入产业看,省 FDI 大部分流向第二产业,并且大部分流入制造业。在 2020 年,省 FDI 流向第二产业和制造业分别占流入总量的 49.5% 和 42.79% 。因此提出假设 H2 :在省,FDI 造成经济结构的变动会增加碳排放量。
2.3 技术效应
一般情况下,投资国具有技术优势,除提供基本资金以外,还会给流入地区带来相关的先进清洁技术和环保理念,从而在流入地区内产生示范引领的作用,降低碳排放量。在省,改革开放以来经济发展迅速,积极引进技术以及加大研发投入使得科技发展较快,FDI 的流入导致企业使用落后的技术和机器的概率较低。因此提出假设 H3 :在省,引进FDI 导致科技水平的提升会降低碳排放量。
2.4 管制效应
若地区的环境监管较为宽松,可能吸引高污染行业的外资进入,带来环境压力,进而演变为“污染避难所”;反之,若环境规制
,保护政策健全,且配套的惩罚机制明确有力,则有助于遏制污染型投资进入,能有效的将高污染外资产业拒之门外,会对环境质量的改善有利。近些年来省在环境保护政策以及惩罚措施上看,环境管制力度是比较严厉的。因此提出假设 H4 :在省,通过管制,引进FDI 会降低碳排放量。
3 省FDI 对碳排放量影响的实证检验
3.1 模型设定
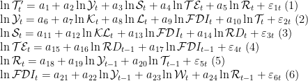
为了分析省 FDI 对碳排放量的影响,基于上文的理论分析,并且借鉴了卞淑贤(2017)提出的模型,本文建立如下的联立方程组模型:

上述各方程中的 t 代表年份, ai 为估计系数, εnt 为随机误差项。方程(1)为碳排放量方程, T 为碳排放量,取决于规模效应(Y )、结构效应( s )、技术效应(TE)和管制效应( R )。
方程(2)~(6)分别为规模效应、结构效应、技术效应、管制效应方程和 FDI 规模方程。其中 L、K、FDI、 KLt 、 RD 、 W 分别为劳动、资本、外商直接投资、资本劳动比、研发投入和工资水平。
3.2 变量选取和数据来源
考虑数据的可获得性,本文选取 2001—2020 年省的相关数据,原始数据 2002—2021 年的《中国统计年鉴》、《中国能源统计年鉴》和《统计年鉴》。由于目前没有具体的检测碳排放量数据,所以本文采用碳排放因素分解模型估计不同时期碳排放量数据:
,其中 T 表示碳排放量, 表示第 种能源的消耗数量, 表示第 种能源的Ei i βi i折标准煤系数, Fi 表示是第 i 种能源所产生的碳排放系数。本文参考《中国能源统计年鉴(2020)》得到各类能源折标准煤系数,采用中国国家发展和改革委员会能源研究所提供的各类能源碳排放系数进行计算。
Yt 表示省第 Φt 年的产出水平,本文选取省人均 GDP 来表示,规模效应方程中的 Kt 表示第 t 年省的物质资本存量,本文采用永续盘存法对 2001—2020 年省的物质资本存量进行估算,基期数据选取自张军(2000)所测算的省物质资本存量。 FDIt 表示外商直接投资存量,同样按照永续盘存法计算得出,根据历年美元汇率换算成人民币。
Wt 为工资水平,用省城镇非私营单位就业人员平均工资表示。 St 表示产业结构的变动,用第二产业占比来衡量。 KLt 为资本劳动比,为资本存量与就业人数之比。 TEt 表示环境技术水平,采用省 GDP除以碳排放量表示;研发投入 RDt 用省研究和试验发展经费投入支出来表示。环境管制水平 R ,暂时没有统一的指标界定,用省工业污染治理完成投资额来表示。
3.3 计量结果分析
本文采用三阶段最小二乘法(3SLS)估计联立方程组的各参数,使用计量软件 Eviews10.0 进行处理,得到相关结果。从结果看,联立方程组的估计比较好, Adj-R2 都高于 70%,拟合程度较好。并且,各变量的参数估计大部分都能在 10%、5% 或 1% 的显著性水平下通过 t 检验,所以无论是模型构建还是变量的选择都是合适的。
计算得出省 FDI 对碳排放量影响的分解效应和总效应,如表 1 所示。总体上看,省引进 FDI 增加了碳排放量,尽管技术进步与环境规制在一定程度上有助于减少碳排放,但其减排效果尚不足以抵消结构效应和规模效应引发的碳排放增长压力,最终总效应为0.051,说明省FDI 每增加 1% ,碳排放量就增加 0.051%, 规模效应。从总体上看,FDI 产生的规模效应系数为 0.2051,表明 FDI 通过规模效应增加了省的碳排放量,前文的假设 H1 成立。
结构效应。综合算得,FDI 的结构效应影响系数为 0.0512,表明省 FDI 流入通过产业结构的变动加剧了省碳排放。前文假设 H2 成立。
技术效应。综合算出 FDI 对碳排放量的技术效应系数为 0.2030,表明 FDI 的流入能够提升环境技术水平,进而降低碳排放量。前文假设 H3 成立。
管制效应。省 FDI 对碳排放量的管制效应系数为 0.0023,表明省的 FDI 产生的环境管制能够降低碳排放量,FDI 与碳排放量呈现反向变动。前文的假设 H4 成立。
表1 省FDI 影响碳排放量的分解效应和总效应

4. 结论与建议
本文基于双碳背景探索省 过机制分析得出 FDI 通过规模效应、结构效应、技术效应和管制效 对省 2001—2020 年的数据进行计量分析,实证结果表明, 推动碳排放增加,而在技术效应与环境规制效应下呈现一定的减排作用,但整体效应仍为正,意味着FDI 流入总体上加剧了碳排放。
根据以上结论,本文提出以下对策:第 ,省在扩大引进外商直接投资规模的同时,要引进带有先进技术的外资,坚持有选择有区别的引进外资, 排放的企业进入;第二,应当鼓励外商直接投资向第一、第三产业投入,促进 省应向企业和民众大力宣传减碳环保观念,制定更加严格的环保政策和惩罚措施,对节能、低碳技术的应用给予补贴和奖励。
参考文献
[1]Jorgenson, A K, Does Foreign Investment Harm the Air We Breathe and the Water We Drink[J]. Organization Environment, 2007, 20(2): 137-156.
[2] 柯瑞 . FDI 对环境污染影响的实证分析 [J]. 统计与管理 , 2020, 35(07): 4-10.
[3] 胡本田 , 邵俊琪 . FDI 对我国二氧化碳排放的影响—— 基于空间杜宾和多重门槛模型的实证研究 [J]. 天津商业大学学报 , 2022, 42(05): 49-58.
[4] 陈雅豪. FDI 对中国制造业碳排放的影响及机制研究[D]. 山西财经大学, 2023.
[5]Tang C, Tan B, Ozturk I. Energy consumption and economic growth in Vietnam[J]. Renewable and Sustainabl Energy Reviews, 2016, 54: 1506-1514.
[6] 卞淑贤 . 外商直接投资与省碳排放——基于联立方程的实证研究 [J]. 皖西学院学报 , 2017, 33(01):54-59.
[7] 高冉冉. 外商直接投资对中国工业碳排放的影响研究 [D]. 东北财经大学, 2022.
[8] 郝宇 , 巴宁等 . 外商直接投资、区域创新能力与碳排放——基于空间溢出效应视角的研究 [J]. 深圳社会科学 , 2021, 4(02): 48-60.
[9] 何冬太. 外商直接投资对地区碳排放的影响分析——以山西省为例 [J]. 全国流通经济, 2022(26): 87-90.
基金项目:校级人文社科研究项目(2022FSSK11)
作者简介:张雷(1995—),男,潜山人,硕士,助教,研究方向:宏观经济统计。