深部长工作面开采地表沉降数值模拟研究
李准 郝育喜 胡江春 陈子龙 李明亮
中原工学院 智能建造与建筑工程学院 河南郑州 450007;河南理工大学 能源科学与工程学院 河南焦作 454003
关键字:地表沉降;数值模拟;充分采动;深部开采
地下煤炭开采会导致大面积的地表沉降、变形,对地面建筑物或同区域其他资源开采造成影响。有效预测煤炭开采沉陷的范围和沉降量,对于地面建筑物保护或其他资源安全开采至关重要。数值模拟在岩土工程领域应用较广泛,能够对地表沉陷问题进行模拟。针对这一问题国内相关研究人员做了大量研究。苗勇刚等针对深部开采遇到的地表沉降问题,通过建立矿体数值模型,研究随开采深度的增加,地表沉降对建 ( 构 ) 筑物和上覆岩层稳定性的影响,通过数值计算的方法模拟矿体逐步开挖并对地表沉降变形进行分析。程桦等采用 Mohr—Coulomb 准则建立井筒底部含水层巨量水砂快速流失引发上覆土层沉降力学模型,揭示了厚表土薄基岩大直径钻井井筒突水溃砂引起的次生地表沉降破坏机理。曹琰波等采用数值模拟方法,分析了 6 种不同工况下双煤层开采时覆岩破坏与地表沉降特征,并用物理相似模拟实验加以验证;杨胜利等综合运用数值模拟和现场实测等方法研究深埋厚冲积层薄基岩煤层开采地表沉陷与覆岩运动的关系、地表沉降演化特征和地表沉降预测方法;高方玲等采用数值模拟方法研究了 3 种条带开采方案的地表变形特征 , 研究了不同置换率充填对上覆岩层移动的影响;张海洋等采用数值模拟计算和概率积分法的地表沉陷软件计算等方法,系统地研究了大倾角煤层开采的地表沉降及岩层运移特征;郭玉芳等采用 FLAC3D 程序数值模拟软件,不同厚松散层厚度条件下岩层垂直位移云图及地表下沉曲线,并从岩层与地表移动变形机理方面进行了解释,得到了特定矿区厚松散层开采条件下沉陷规律;李想等基于微震及地表沉降监测数据,利用 UDEC 对深部采煤覆岩移动和地表沉降进行了数值模拟研究,揭示了深部采煤覆岩移动和地表沉降规律;张香凝等通过数值模拟分析了某矿区地表形变结果,讨论了地面沉降在时间和空间上的变形规律和机制;袁越等通过FLAC3D 进行模拟计算和分析,发现在满足允许地表变形情况下,可适当提高开采厚度,充分解放建筑物下的压煤量;章海兵等构建了山区重复采动下地表最大下沉值预测模型,并通过模拟计算研究了不同地面坡度下煤层采动对地表沉陷变形的影响;张佳明等采用 FLAC3D对不同开采速度、采高、采宽、松散层厚度和基岩层厚度条件下煤层开采地表沉降速度进行了模拟研究,对地表沉降速度变化规律进行了研究。尽管相关学者针对煤炭开采造成的地表变形破坏进行了大量计算分析,但是在地下深部长工作面开采情况下,针对不同煤层厚度对开采造成的地表沉降变形方面的研究仍有所欠缺。
鄂尔多斯盆地北部存在煤炭和天然气两种资源同时交叉开采的情况,导致各矿种开采时相互制约、相互影响,特别是地表沉降变形,造成油气井和输气管道破坏,对安全生产带来重大隐患,已成为影响和制约矿区可持续发展的重要因素。本文章采用 FLAC3D 模拟软件,对该区某在建矿井二 1 煤层深部长工作面开采进行数值模拟研究,对开采造成的地表沉降进行预测,为实际工程提供了有效的参考依据。
1 工程概况
1.1 煤岩层地质概况
二 1 煤层位于延安组三岩段,平均埋藏深度 740.60m ,自然厚度0.28~7.43m ,平均 3.36m 。煤层结构简单。顶板岩性多为泥岩、粉砂质泥岩等,底板岩性多为粉砂质泥岩、泥质粉砂岩、砂岩等。井田内二 1 煤层东部煤层厚度相对较大,一般在 3m 以上,其中东北部和东南南部厚度可达 4m 以上。可采面积约 72.8km2 ,面积可采系数87% ,属大部分可采煤层,二 1 煤层地层综合柱状图(部分)如图1。

1.2 工作面生产概况
根据矿井二 1 煤厚度以及煤层顶底板地质条件,确定工作面采用走向长壁布置,综采一次采全厚采煤方法,接续工作面长度按 370m ,工作面采用全部垮落法管理顶板,开采工况平面图如图2 所示。

为了研究该矿区煤层厚度对回采后地面沉降的影响,二 1 煤层取该矿区代表性平均厚度 2.43m 、 2.96m 、 3.39m 、 3.67m 进行开采模拟。每个盘区的数值模拟中所使用的岩层厚度均采用钻孔数据平均值如表1 所示。

2 煤层地表沉降数值模拟及结果分析
2.1 数值建模
根 据 该 矿 工 作 面 情 况, 基 于 FLAC3D 平 台 建 立 尺 寸 为5000m×4000m×1020m 的模型(如图 3),在竖直方向,底部距离三 1 煤层 210m ,上部建模至地面。开挖尺寸长 × 宽分别为1000m×370m 、 1500m×740m 、 2000m×740m 、 2500m×740m ,并在此基础上进一步细化并找到达到充分采动时的开挖尺寸。开挖位置为模型中部,距离模型左侧边缘 1000m 。本次模拟地层倾角设置为水平,将埋深设定在 740.60m 。
2.2 边界条件及网格划分
对模型进行网格离散化生成 85675 个单元和 24255 个节点,共划分为 58 个分组,且 σX 方向每层 125 个六面体网格,y 方向每层 100 个六面体网格, z 方向共71 个六面体网格,其中二1 煤层位于中部偏上位置,且对煤层所在分组进行加密处理。模型上部直接模拟到地表,垂直方向只承受自身重力,水平侧向应力按照侧压系数随埋深增加而逐步增大的规律计算得出,模型两侧限制水平位移,并固定模型底面,初始平衡后进行二 1 煤层开挖模拟计算,采用 Mohr-Coulomb 准则描述其弹塑性力学行为。

数值模型各岩层参数参考该矿地质报告相关数据,如表 2。因该矿尚未采动上覆各岩层之间无离层因此,计算模型中各岩层分组之间不做特殊处理,分组之间相邻网格结点位置重合,网格自动连接。

2.3 结果分析
模型开挖后在模型地表盆地主断面面上提取地表下沉数据,提取位置为模型中部地表,在 x 轴上每隔 50m 提取一个数据点,共提取101个数据点,研究其沉降数据,得到刚好达到充分采动时的开挖范围。
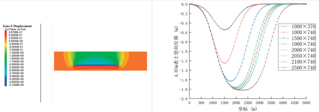
(1)二 1 煤层平均厚度 2.43m 模拟计算开采后地表沉降
根据提取数据绘制地表沉降曲线及位移云图(图 6(a) )可知,在工作面走向方向一次性开挖 1000m , 倾向开挖 370m 和 740m 时,地表均出现明显沉降,沉降曲线图呈“V”型;倾向开挖 740m ,走向开挖 1700m 开始逐渐细化开挖距离,分别开挖 1700m 、 1800m 、 1850m 、
。当开挖 1850m ,倾向开挖 740m 时,沉降曲线出现“盆底”形状,表明地表沉降在走向方向开始处于充分采动;当开挖 2000m ,倾向开挖 740m 时,沉降量曲线形成较明显的“盆底”形状,表明地表已处于超充分采动。因此认为当走向开挖 1850m ,倾向开挖 740m 时,在走向方向上刚好达到充分采动,此时最大下沉量 1.34m ,地表下沉10mm 时影响范围为 3550m 。
(2)二 1 煤层平均厚度 2.96m 模拟计算开采后地表沉降
根据提取数据绘制地表沉降曲线及位移云图(图 6(b))可知,当走向开挖至 1500m ,倾向开挖 740m 时,曲线底部逐渐平缓;从走向开挖 1800m 开始逐渐细化开挖距离,经过走向开挖 1800m 、 1900m 、1950m 、 1980m 、 2000m 、 2050m 、 2010m 后发现,当开挖 1980m ,倾向开挖 740m 时,沉降曲线出现“盆底”形状,表明地表沉降在走向方向开始处于充分采动;当开挖 2000m ,倾向开挖 740m 时,沉降量曲线形成较明显的“盆底”形状,表明地表已处于超充分采动,因此认为当走向开挖 1980m ,倾向开挖 740m 时,在走向方向上刚好达到充分采动,此时最大下沉量 1.63m ,地表下沉 10mm 时影响范围为3650m 。
(3)二 1 煤层平均厚度 3.39m 模拟计算开采后地表沉降
根据提取数据绘制地表沉降曲线及位移云图(图 6(c))可知,当走向开挖至 1600m ,倾向开挖 740m 时,曲线底部逐渐平缓;从走向开挖 1900m 开始逐渐细化开挖距离,经过走向开挖 1900m 、 2000m 、2050m 、 2100m 后发现,当开挖 2050m ,倾向开挖 740m 时,沉降曲线出现“盆底”形状,表明地表沉降在走向方向开始处于充分采动;当开挖 2100m ,倾向开挖 740m 时,沉降量曲线形成较明显的“盆底”形状,表明地表已处于超充分采动,因此认为当走向开挖 2050m ,倾向开挖 740m 时,在走向方向上刚好达到充分采动,此时最大下沉量1.8m ,地表下沉 10mm 时影响范围为 3700m 。
(4)二 1 煤层平均厚度 3.67m 模拟计算开采后地表沉降
根据提取数据绘制地表沉降曲线及位移云图(图 6(d))可知,当走向开挖至 1700m ,倾向开挖 740m 时,曲线底部逐渐平缓;从走向开挖 1950m 开始逐渐细化开挖距离,经过走向开挖 1950m 、 1980m 、1990m 、 2000m 、 2100m 、 2200m 、 2250m 、 2300m 、 2500m 后 发 现,当开挖 2100m ,倾向开挖 740m 时,沉降曲线出现“盆底”形状,表明地表沉降在走向方向开始处于充分采动;当开挖 2200m ,倾向开挖 740m 时,沉降量曲线形成较明显的“盆底”形状,表明地表已处于超充分采动,因此认为当走向开挖 2100m ,倾向开挖 740m 时,在走向方向上刚好达到充分采动,此时最大下沉量 1.91m ,地表下沉10mm 时影响范围为 3750m 。


(b)二 1 煤层 2.96m 厚地表沉陷云图及地表沉降曲线图(c)二 1 煤层 3.39m 厚地表沉陷云图及地表沉降曲线图



根据数值模拟结果可知,随着煤层厚度增加,最大沉降量、充分采动时走向开挖距离、地表下沉边界(下沉 10mm 时)影响范围均有所增加。煤层厚度从 2.43m 增至 3.67m 时,最大沉降量增加 43.3% 。这一趋势源于厚煤层开采形成垮落空间所致(采空区体积随开采厚度增加而增加)。值得注意的是,沉降量增幅小于厚度增幅,表明厚煤层开采中顶板垮落碎胀效应部分抵消了采空区闭合空间,符合下沉系数下降的观测结果。
(5)下沉系数
在充分采动时,地表最大下沉值 Wcm 与煤层法线采厚 M 在铅垂方向投影长度的比值为下沉系数

式中, q 为下沉活化系数; Wcm 为地表最大下沉值, m ;M 为煤层开采厚度, m ; ∝ 为煤层倾角。
由式(1)得,当二1 煤层开采厚度为 2.43m 时,下沉系数为0.55;开采厚度为 2.96m 时,下沉系数为 0.55;开采厚度为 3.39m 时,下沉系数为0.53;开采厚度为 3.67m 时,下沉系数为 0.52 。
(6)边界角
在充分或接近充分采动条件下,沉陷盆地主断面上下沉 10mm 的点与采空区边界之间的连线和水平线在煤柱一侧的夹角为边界角 [21],其计算公式如下。

式中,δ 为边界角; h0 为埋深厚度, m;ξ] 为沉降 10mm 距开挖结束的距离,m。
由式(2)得,当二 1 煤层开采厚度为 2.43m 时,边界角为
42.8∘ ;开采厚度为 2.96m 时,边界角为 40.4∘ ° ;开采厚度为 3.39m 时,边界角为41.1° ;开采厚度为 3.67m 时,边界角为 39.5∘ 。
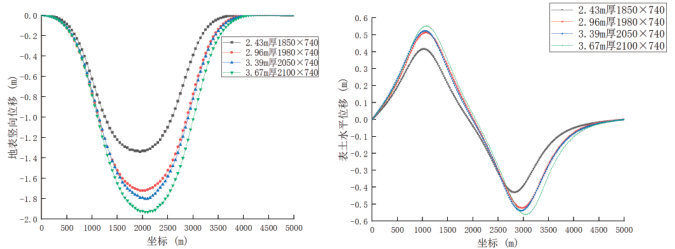
根据模拟结果可得到四个煤层厚度分别达到充分采动时的沉降曲线,再对该曲线对应的水平位移通过数值模拟进行检测,可得到当煤层达到充分采动时该厚度的水平位移曲线,如图7。

(a) 充分采动沉降曲线 (b) 充分采动水平位移曲线
图5 二 1 煤层充分采动沉降曲线及水平位移曲线
由图 7 可知,在不同开采厚度情况下,充分采动后最大水平位移均出现于开挖边界附近地表,水平位移范围为 0.429~0.559m ,总体呈上升趋势。
(7)水平移动系数
充分采动时,走向主断面上地表最大水平移动值 ΔUcm 与地表最大下沉值 Wcm 的比值称水平移动系数

式中,b 为水平位移系数; ΔUcm 为走向主断面上地表最大水平移动值, m ; ΔWcm 为地表最大下沉值,m。
由式(3)得,当二 1 煤层开采厚度为 2.43m 时,水平移动系数为 0.32;二 1 煤层开采厚度为 2.96m 时,水平移动系数为 0.31;二 1煤层开采厚度为 3.39m 时,水平移动系数为 0.29;二 1 煤层开采厚度为 3.67m 时,水平移动系数为 0.29 。有数据可知,随着煤层厚度增加,地表下沉系数、边界角和水平移动系数总体呈下降趋势。

数值模拟结果显示,沉降量增加趋势与煤层厚度呈正相关,可知厚煤层开采形成了更大体积的采空区,加剧了覆岩悬露跨度与自重应力作用,促使下沉边界扩展。由于厚煤层开采时顶板垮落更为充分,垮落碎胀效应部分抵消了采空区闭合空间,削弱了地表下沉传递效率,导致煤层厚度增加导致下沉系数降低。边界角随厚度减小可反映出厚煤层开采时覆岩破坏范围更广,下沉盆地边界向外延展,导致下沉 10mm 点与采空区边界的水平距离增大,这一现象与水平位移集中于开挖边界( 0.429~0.559m )密切相关(图 7(b))。厚煤层导致采空区两侧覆岩应力差异增大诱发剪切滑移,推动下沉盆地边界外移,同时加剧水平位移。 水平位移集中于开挖边界附近,可推测出该区域剪应力集中,引发岩层剪切滑移;煤层增厚加剧了采空区两侧覆岩的不对称变形,进一步放大了水平位移量。
2.4 实测对比
由于本矿井为基建矿井,尚未开采,暂无法进行现场实测,为验证数值计算的准确性,收集了距该井田附近母杜柴登煤矿、石拉乌素煤矿相关文献地表沉降数据,以及马泰壕煤矿 3104、3106 工作面地表移动监测研究报告相关数据,并依据已知数据和公式(1)、(2)和(3)进行下沉系数、水平位移系数和边界角的计算。
由文献可知母杜柴登和石拉乌素矿相关工作面尚未达充分采动,下沉系数相对略小。马泰壕煤矿下沉系数范围在 0.52\~0.6,模拟计算结果为 0.51\~0.55,与马泰壕煤矿实测相差约 9.6% ;附近矿区水平移动系数范围在 0.28\~0.35,模拟计算结果 0.29\~0.32,相差 10.3% 以内,边界角范围在 48.8∘ ~58∘ ,模拟计算结果 40.5∘ ~42.8∘ ,差值约为 24.6% 。,数值计算与附近矿井实际观测结果较为相符。
3 结语
(1)分别对二 1 煤平均厚度为 2.43~3.67m 的煤层进行了模拟计算,给出了充分采动开采云图和走向方向上较为细致的沉降曲线图,得到充分时最大沉降量范围为 1.34~1.91m ;走向方向开挖距离为1850~2100m ;下沉 10mm 时影响范围为 3550~3750m ,并找到了充分采动沉降曲线和水平位移曲线。

(2)通过分析二 1 煤层达到充分采动时各数据之间的关系,发现随着煤层厚度增加,地表下沉系数 q 、边界角 δ 和水平移动系数 b总体呈下降趋势;地表最大沉降量 Wcm 、充分采动时走向开挖距离、下沉边界范围均呈增大的趋势,但增大幅度较小。
(3)在不同开采厚度情况下,充分采动后最大水平位移均出现于开挖边界附近地表,水平位移范围为 0.429~0.559m ,总体呈上升趋势。
本研究通过系统分析,明确了煤层厚度对深部开采地表沉降的影响机制,并揭示了参数间的动态关联。结果既符合经典理论框架,为类似条件矿井的开采设计与灾害防控提供了定量依据。未 来需进一步融合多尺度模拟与实测数据,完善深部开采沉降预测模型。
参考文献
[1] 杨征 , 李明忠 , 刘前进 , 等 .450m 超长工作面矿压显现与地表移动变形规律研究 [J]. 煤炭工程 ,2023,55(2):63-68.
[2] 黄小忠, 李国平. 软弱破碎矿岩开采下地面沉降分析与预测[J].现代矿业 ,2022,38(10):247-250.
[3] 王晓蕾,姬志岗,魏 慷,等.煤层开采地表沉陷监测及预测技术现状及发展趋势 [J].科学技术与工程,2020,20(24):9696-9706
[4] 苗勇刚 , 王海军 , 张长锁 , 等 . 某金属矿地下开采地表沉降影响分析 [J]. 中国矿业 ,2023,32(11):197-205.
[5] 程桦,张亮亮,姚直书,等.厚表土薄基岩钻井井筒突水溃砂次生竖向受压破坏机理研究[J].煤炭工程, 2020,5(1):1-7
[6] 曹琰波 , 范 文 , 陶宜权,等.榆神府矿区双煤层开采覆岩破坏及地面沉降特征研究 [J].煤矿安全,2023,54(7):205-213
[7] 杨胜利 , 吴山西 , 王兆会 , 等 . 深埋厚冲积层薄基岩煤层开采地表沉降特征与预测方法[J].煤炭学报, 2023,48(2):523-537.
[8] 高方玲 , 刘萍 , 贾毅超 , 等 . 贵州垄脊地貌下置换条带煤柱开采研究 [J].煤炭工程 ,2023,55(3): 12—18
[9] 张海洋 , 李小萌 , 孙利辉 , 等 . 大倾角煤层开采地表沉陷规律研究 [J]. 煤炭工程 ,2022,54(6): 108-112.
[10] 郭玉芳, 孟凡迪, 陈俊杰. 厚松散层开采条件下地表沉陷数值模拟分析 [J].煤炭工程,2014,46(6) : 103—105
[11] 李 想 , 焦玉勇 , 邹俊鹏 , 等 . 深部采煤覆岩移动和地表沉降研究 [J]. 安全与环境工程 ,2022,29(2):32-38
[12] 张香凝 , 贺黎明 , 刘翠芝 , 等 . 基于 SBAS-InSAR 技术的煤矿开采沉陷监测与分析 [J]. 遥感技术与应用,2022,37(4):1021-1028.
[13] 张佳明, 程 桦, 张亮亮. 厚松散层薄基岩煤层开采地表沉降速度及其影响因素研究 [J/OL]. 煤矿安全,2024,55(6):1-10
[14] 袁 越 , 李树清 , 赵延林 , 等 . 深部大采宽开采条件下地表沉陷的数值计算分析 [J]. 矿业工程研究 ,2017,32(3):1-6.
[15] 章海兵 , 刘勤志 , 孔德中 , 等 . 喀斯特山区重复采动下地表沉陷预测研究 [J]. 矿业研究与开发 ,2024,44(3) 65-72.
[16] 马兴华 , 黄光利 , 冉庆雷 , 等 . 煤炭与石油资源重叠区域废弃油井危害分类及防治技术研究 [J]. 矿业安全与环保 ,2022,49(4):16-168.
[17] 邹友峰 . 地表下沉系数计算方法研究 [J]. 岩土工程学报 ,1997,19(3):112-115.
[18] 郭文兵, 邓喀中, 邹友峰. 地表下沉系数计算的人工神经网络方法研究 [J]. 岩土工程学报 ,2003,25(2):212-215.
[19] 刘辉 , 李玉 , 苏丽娟 , 等 . 厚松散层薄基岩下开采地表变形规律——以鲁南矿区为例 [J]. 煤炭科学技术 ,2023,51(09):11-23.
[20] 王中伟.煤柱留设与压煤开采有了新规范 [N]. 中国煤炭报 ,2017-07-31(4).
[21] 程显亮,王依雷,刘月华,等.母杜柴登煤矿地表动态移动变形规律研究 [J].矿山测量,2020,48(6):6 - 9,48.
[22] 高超,张玉军,李平,等.厚基岩大采深条件下地表沉陷规律实测研究 [J]. 煤矿安全,2021,52(5):201-206.
[23] 李天雨 . 石拉乌素煤矿巨厚弱胶结覆岩开采沉陷规律研究及应用 [D]. 中国矿业大学 ,2024..
[24] 李天雨 , 郭广礼 , 宫亚强 , 等 . 巨厚弱胶结覆岩开采地表沉陷规律研究 [J/OL]. 金属矿山 ,1-11[2025-05-23].
作者简介:李准,(1999/01/04),男,汉,人,硕士, 岩石力学