考虑碳交易的新能源汽车演化路径研究
苏雅 陆炫宇 黄春梅
国网南京市溧水区供电公司
1 引言
全球气候变化危机要求减少排放,交通领域燃油车碳排放显著,新能源汽车凭借低碳特性成为转型核心载体,但面临研发成本高、充电设施不足及续航焦虑等瓶颈。2024 年中国市场渗透率达 44.8% ,全球销量占比 67.2%[1] ,碳交易机制覆盖 2257 家企业,累计成交 249 亿元 [2]。但现有研究缺乏政府、车企、消费者三方动态博弈的系统量化分析。本研究创新采用协同进化算法构建群体演化模型,建立三方博弈框架,综合敏感性分析与系统仿真,解析碳交易与产业演化的协同路径。
2 群体动态演化模型
2.1 模型构建
本研究基于利润最大化原则建立新能源汽车生产决策模型。车企生产比例 θ 由下式决定[3]:

其中:P1,P2 分别为燃油车、新能源汽车售价; C1 、 C2 为对应生产成本; Pc 为碳价(单位:元/ 吨 CO2 ); E1 为燃油车单位碳排放量。
电池成本动态遵循Wright 学习曲线法则:

其中: Q2 为累计新能源汽车产量。该式揭示累计产量 Q2(t) 每翻一倍,电池成本下降约 20% (学习率 b=0.2 )。
该模型通过耦合企业利润函数与技术学习效应,量化碳交易政策对产业结构的动态影响机制。
2.2 演化路径分析
基于群体动态演化模型的仿真揭示了新能源汽车产业的核心演化规律:在碳交易机制作用下,新能源汽车市场份额(S2)呈现指数级增长,从 2025 年的 0.28 跃升至 2035 年的 0.79 。这一演化过程受双重机制驱动:
1. 技术学习效应主导成本下降,电池成本遵循式(2),累计产量每翻倍成本下降 20% 。2030 年产量较 2025 年增长 2.3 倍,推动成本从15 万元/ 辆降至11.2 万元(降幅 25.3% );
2. 碳价政策传导重构企业利润结构,碳价每增加 50 元 / 吨,车企新能源汽车生产比例(θ)提升 0.17 。当碳价突破 100 元 / 吨阈值时,燃油车利润空间压缩 23% ,倒逼产能向新能源汽车转移(θ 增幅 >15% )。
2.3 敏感性分析
本研究同时发现技术学习率与碳政策调控存在显著协同效应:
1. 学习率敏感性:当 b 从 0.15 提升至 0.25 时,2030 年电池成本由 13.1 万元降至 9.0 万元,市场份额从 0.45 增至 0.62,学习率每提升0.05 市场份额增长约8 个百分点;
2. 政策冲击效应:碳配额缩减 30% 导致燃油车产量骤降 55% ,其作用机制为配额紧缩推高碳价(弹性系数 1.2),触发企业产能结构性转移(θ 提升 0.24),市场重组周期缩短至原有时长的 60% 。正交试验进一步揭示:在低学习率( b=0.15 )与紧缩配额组合下,市场份额增幅达 18% ,凸显政策干预对技术弱势情景的补偿效应。
基于演化模型与敏感性分析的综合研判,提出三重核心政策框架:首先,实施碳价阶梯式增长机制,设定初始碳价不低于 100 元 / 吨并保持年增幅 >5% ,同步采用配额年缩减 3%-5% 的渐进式紧缩策略,通过价格信号与总量控制双轨驱动产业转型;其次,重点强化电池技术研发投入,将学习率提升至 0.25 作为优先目标,此举可使 2035 年市场份额突破 85% ,实现技术成本曲线的陡峭下移;最后,建立碳市场风险对冲机制,包括设立价格稳定基金缓冲配额突变冲击,并针对传统车企设立转型过渡期专项扶持,保障产业结构平稳重组。这三类政策通过碳成本内部化、技术扩散加速与系统性风险防控的协同作用,可推动新能源汽车产业在2035 年前完成低碳转型临界跃迁。
3 三方演化博弈模型
3.1 博弈框架设计
本研究将构建政府 - 车企 - 消费者三方演化博弈模型,系统分析碳交易政策下的决策互动机制。博弈主体策略空间明确划分为:政府选择实行碳交易(概率 σX )或不实行( Δ );车企选择生产新能源汽车(y)或不生产(1-y);消费者选择购买新能源汽车(z)或传统燃油车(1-z)。三方博弈关系如图所示,形成 " 政策制定 - 生产响应 -消费选择" 的闭环决策链。
模型参数体系基于五类核心假设:
1. 政府实施碳交易需支付管理成本P,否则承担环境治理成本D;
2. 车企生产新能源汽车需投入研发成本 C,但可通过碳积分交易获得额外收益E;
3. 政府将燃油车企罚款 F2 用于补贴新能源车企(奖金 J1 )和消费者(奖金 J3 );
4. 消费者购买新能源汽车享受政府补贴 J2 及使用成本节约K;
5. 燃油车消费者在碳交易实施时需支付碳配额费用 F3, 。
基于上述假设建立的收益矩阵揭示关键规律:当三方均选择低碳策略(
)时,政府通过罚款收入抵消管理成本( -P+ F2(1-α) ),车企获得研发补偿( S-C+E+J1 ),消费者实现净收益(
),形成帕累托改进基础。该框架突破传统单主体研究局限,首次量化三方策略的耦合效应。
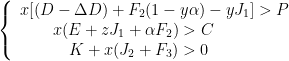
3.2 均衡点分析
政府复制动态方程显示:当减排收益( D-ΔD )大于管理成本 P与补贴支出( J1+J3 )之和时,政府趋向实施碳交易( (ΦX⟶1Φ) 。车企策略选择取决于研发成本补偿机制:当政策激励 x(E+zJ1+αF2)>C 时,车企倾向生产新能源汽车( ⋅y⟶1 )。消费者决策受经济性主导:当K+x(J2+F3)>0 时,购买新能源汽车成为占优策略( z⟶1 )。
4 政策仿真与建议
4.1 奖惩机制影响
对 8 个纯策略均衡点的特征值分析表明:仅当三方均采取积极策略(政府实施碳交易、车企生产新能源汽车、消费者购买新能源汽车)
时,系统达到稳定均衡(特征值全负)。该均衡要求同时满足:

稳定性条件揭示政策设计临界值:碳交易管理成本 P 需低于环境治理收益(D-ΔD)的 70% ;车企研发成本 C 应小于碳积分收益 E与奖金 J1 之和的 1.3 倍;消费者成本节约 K 需覆盖补贴退坡风险的30% 。
4.2 政策优化建议
基于三方演化博弈与动态仿真的系统分析,本研究提出三重协同政策框架:首先,建立碳价动态调节机制,设定初始碳价不低于 100元 / 吨并保持年增幅 >5% ,同步实施配额年缩减率 3%-5% 的渐进式紧缩策略,通过价格信号与总量控制双轨驱动产业转型;其次,强化技术扩散加速路径,重点提升电池技术学习率至 0.25(2030 年目标值),该举措可使电池成本降幅扩大至 46% ,推动 2035 年市场份额突破 85% ;最后,构建系统性风险对冲机制,设立碳价稳定基金缓冲配额突变冲击,针对传统车企设立转型过渡期专项扶持,并实施区域差异化配额方案(高排放区域执行基准配额 70% )。这三类政策通过碳成本内部化、技术扩散加速与风险防控的协同作用,可推动新能源汽车产业在 2035 年前完成低碳转型的临界跃迁,实现政府环境治理、企业技术升级与消费者福利提升的多方共赢。
5 结束语
本研究通过构建 " 群体演化 - 三方博弈 " 双模型耦合框架,首次揭示碳交易政策对新能源汽车产业的三重驱动机制:碳价每提升 50元 / 吨可推动车企新能源生产比例增加 0.17,证实环境成本内部化对产业结构的重塑作用;电池技术学习率 b=0.2 时,累计产量翻倍可使成本下降 20% ,量化了技术扩散与市场规模的正反馈效应;消费者环保偏好系数 >0.05 时市场出现相变点,政府、企业、消费者策略在(1,1,1) 处形成唯一稳定均衡。方法论层面突破传统静态博弈局限,建立三方策略联立微分方程组实现动态演化闭环求解,开发的正交试验敏感度矩阵可量化 12 个参数的交互效应,为低碳交通政策设计提供创新分析工具。
当前研究存在两维理论局限:未整合区域电网碳强度差异对电动汽车全生命周期排放的影响,缺乏国际碳关税传导机制的建模。未来研究应着力构建 " 碳交易 - 绿证 - 电网调度 " 多市场耦合模型,探索动力电池梯次利用的碳信用核算理论体系,并开发基于区块链的碳排放流追溯算法,建立全产业链碳足迹映射关系。这些突破将推动新能源汽车研究从单一政策评估转向" 技术- 市场- 制度" 复杂系统建模,为全球交通低碳转型提供普适性分析框架。
参考文献
[1] 吴喜庆 , 孙昱晗 , 蔡美楠 , 等 . 中外新能源汽车企业竞争力分析及发展建议 [J]. 汽车制造业 ,2025,(01):11-14.
[2] 梁冬青 . 碳排放权交易机制对煤炭行业碳减排效果的影响研究[J]. 中国煤炭 ,2024,50(10):1-7.
[3] 王震坡 , 詹炜鹏 , 孙逢春 , 邓钧君 , 崔丁松 , 黎小慧 . 新能源汽车碳减排潜力分析[J]. 北京理工大学学报,2024.